精英家教网 > 高中数学 > 题目详情

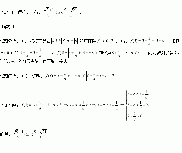
【选修4-5:不等式选讲】

设函数).

(1)证明:

(2)若,求的取值范围.

练习册系列答案
相关习题

科目:高中数学 来源:2015-2016学年江西省吉安市高一上学期期中数学试卷(解析版) 题型:解答题

已知函数

(1)求证:函数在R上为增函数;

(2)当函数为奇函数时,求实数a的值;

(3)当函数为奇函数时,求函数上的值域.

查看答案和解析>>

科目:高中数学 来源:2015-2016学年广东汕头金山中学高一上学期期中数学试卷(解析版) 题型:选择题

下列函数中,在其定义域内是增函数的为( )

A. B.

C. D.

查看答案和解析>>

科目:高中数学 来源:2016届宁夏吴忠中学高三上第四次月考文科数学试卷(解析版) 题型:选择题

全集,集合,那么集合( )

A. B.

C. D.

查看答案和解析>>

科目:高中数学 来源:2016届黑龙江牡丹江一中高三10月月考文数学试卷(解析版) 题型:解答题

中,

(1)求角的大小;

(2)若,当面积取最大时,求内切圆的半径.

查看答案和解析>>

科目:高中数学 来源:2016届贵州省高三上学期第三次月考理科数学试卷(解析版) 题型:选择题

已知是虚数单位,,则“”是“”的( )

A.充分不必要条件 B.必要不充分条件

C.充分必要条件 D.既不充分也不必要条件

查看答案和解析>>

科目:高中数学 来源:2015-2016学年重庆市高一上学期期中数学试卷(解析版) 题型:解答题

如图,定义在上的函数的图象为折线段

(1)求函数的解析式;

(2)请用数形结合的方法求不等式的解集,不需要证明.

查看答案和解析>>

科目:高中数学 来源:2015-2016学年吉林长春十一中高一上学期期中文科数学卷(解析版) 题型:填空题

已知,则________.

查看答案和解析>>

科目:高中数学 来源:2015-2016学年江苏省高邮市高一上学期期中调研数学试卷(解析版) 题型:解答题

已知函数为实常数).

(1)若,求的单调区间(直接写结果);

(2)若,设在区间的最小值为,求的表达式;

(3)设,若函数在区间上是增函数,求实数的取值范围.

查看答案和解析>>

同步练习册答案