精英家教网 > 高中数学 > 题目详情

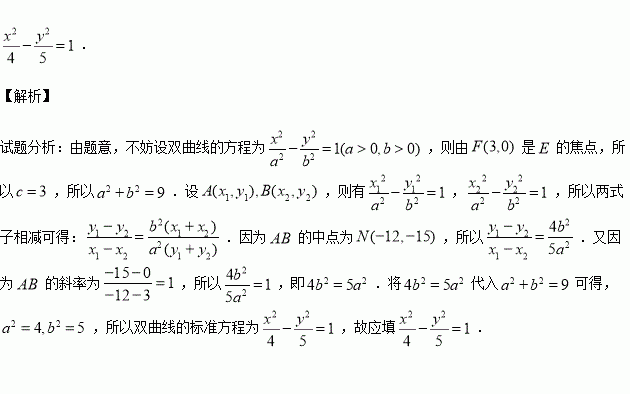
已知双曲线的中心为原点, 的焦点,过的直线与E相交于两点,且

中点为,则的方程为_________________.

练习册系列答案
相关习题

科目:高中数学 来源:2016届河北省高三上第五次月考理科数学试卷(解析版) 题型:选择题

已知,若为实数,则( )

A. B. C. D.

查看答案和解析>>

科目:高中数学 来源:2016届福建省高三上第二次月考文科数学试卷(解析版) 题型:解答题

如图所示,已知在四棱锥中,底面为直角梯形,其中//,侧棱,且

(Ⅰ)求证:平面

(Ⅱ)设点中点,求四面体的体积.

查看答案和解析>>

科目:高中数学 来源:2015-2016学年西藏日喀则一中高二12月理科数学试卷(解析版) 题型:填空题

给定下列四个命题:其中为真命题的是 .(填上正确命题的序号)

①“”是“”的充分不必要条件;

②若“”为真,则“”为真;

③已知,则“”是“”的充分不必要条件;

④“若,则”的逆否命题为真命题.

查看答案和解析>>

科目:高中数学 来源:2015-2016学年辽宁省高二上期中文科数学试卷(解析版) 题型:选择题

我们把焦点相同,且离心率互为倒数的椭圆和双曲线称为一对“相关曲线”.已知是一对相关曲线的焦点,是椭圆和双曲线在第一象限的交点,当时,这一对相关曲线中椭圆的离心率为 ( )

A. B. C. D.

查看答案和解析>>

科目:高中数学 来源:2015-2016学年辽宁省葫芦岛市高二上期中理科数学卷(解析版) 题型:填空题

如果直线与椭圆相交于A、B两点,直线与该椭圆相交于C、D两点,且是平行四边形,则的方程是

查看答案和解析>>

科目:高中数学 来源:2015-2016学年江西省高一重点上期中数学卷(解析版) 题型:选择题

幂函数为减函数,则m的值为( )

A.1或3 B.1 C.3 D.2

查看答案和解析>>

科目:高中数学 来源:2015-2016学年江西省高二上期中理科数学卷(解析版) 题型:选择题

已知圆,在圆上随机取两点,使的概率为( )

A. B. C. D.

查看答案和解析>>

科目:高中数学 来源:2015-2016学年贵州省凯里市高二上期末理科数学试卷(解析版) 题型:填空题

在选择题中,有这样的要求“每小题4分,每小题给出的四个选项中,有一项或一项以上符合题意,错选、漏选均不得分”,某生对某个小题的信息一无所知,随便选了一个选项,该生得分的概率是__________.

查看答案和解析>>

同步练习册答案