精英家教网 > 高中数学 > 题目详情

已知函数为自然对数的底数).

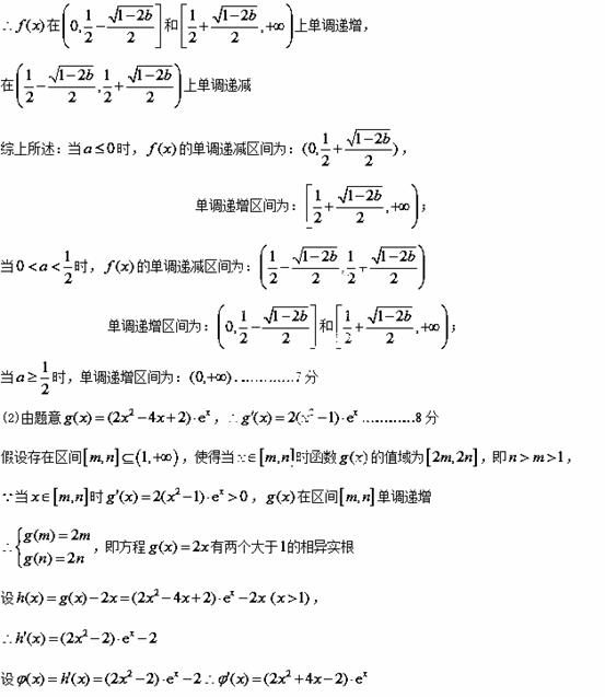
(1)求函数上的单调区间;

(2)设函数,是否存在区间,使得当时函数的值域为,若存在求出,若不存在说明理由.


试题解析:(1) 

①当时,由恒成立,上单调递增

②当时,解得

  (ⅰ)若,则

上单调递减,在上单调递增

(ⅱ)若,则 

上单调增,又,即存在唯一的使.

时,为减函数;当时,为增函数;处取到极小值.又 

只存在一个零点,与方程有两个大于的相异实根相矛盾,所以假设不成立,所以不存在符合题意.

考点:1.求函数的导数;2.导数性质的应用.


练习册系列答案
相关习题

科目:高中数学 来源: 题型:


已知三棱锥的三视图如图所示,则它的体积为            ;

查看答案和解析>>

科目:高中数学 来源: 题型:


已知高一年级有学生450人,高二年级有学生750人,高三年级有学生600人.用分层抽样从该校的这三个年级中抽取一个容量为的样本,且每个学生被抽到的概率为0.02,则应从高二年级抽取的学生人数为     .

查看答案和解析>>

科目:高中数学 来源: 题型:


若复数是纯虚数,则实数的值为(  )

  A.        B.                     C.                     D. 

查看答案和解析>>

科目:高中数学 来源: 题型:


已知约束条件对应的平面区域如图所示,其中对应的

直线方程分别为:,若目

标函数在点处取到最大值,则有

A.          B.         

C.           D.

查看答案和解析>>

科目:高中数学 来源: 题型:


如图1是2013年某大学自主招生面试环节中,七位评委为某考生打出的分数的茎叶统计图,去

掉一个最高分和一个最低分后,所剩数据的平均数和众数依次为(     )

  A.               B.                C.                 D.

图1

查看答案和解析>>

科目:高中数学 来源: 题型:


佛山某中学高三(1)班排球队和篮球队各有名同学,现测得排球队人的身高(单位:)分别是:,篮球队人的身高(单位:)分别是:.

(Ⅰ) 请把两队身高数据记录在如图所示的茎叶图中,并指出哪个队的身高数据方差较小(无需计算);

(Ⅱ) 现从两队所有身高超过的同学中随机抽取三名同学,则恰好两人来自排球队一人来自篮球队的概率是多少?

查看答案和解析>>

科目:高中数学 来源: 题型:


已知圆的方程为x2+y2﹣6x﹣8y=0,设该圆过点(3,5)的最长弦和最短弦分别为AC和BD,则四边形ABCD的面积为______________.

查看答案和解析>>

科目:高中数学 来源: 题型:


已知条件,条件.若的必要不充分条件,则实数的取值范围是________;

     

查看答案和解析>>

同步练习册答案