精英家教网 > 高中数学 > 题目详情

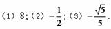
已知

(1)求的值;

(2)求的值;

(3)若是第三象限角,求的值.

练习册系列答案
相关习题

科目:高中数学 来源: 题型:


某班新年联欢会原定的6个节目已排成节目单,开演前又增加了3个新节目,如果将这3个新节目插入节目单中,那么不同的插法种数为(  )

A.504  B.210  C.336  D.120

查看答案和解析>>

科目:高中数学 来源: 题型:


已知a>0,b>0,a在a与b之间插入n个正数x1,x2,…,xn,使a,x1,x2…,xn,b成等比数列,则=        

查看答案和解析>>

科目:高中数学 来源: 题型:


         .

查看答案和解析>>

科目:高中数学 来源: 题型:


 若函数在其定义域上为奇函数,则实数         .

查看答案和解析>>

科目:高中数学 来源: 题型:


某四棱台的三视图如图所示,则该四棱台的体积是 (    )

A .                 

B.   

C.                 

D.

查看答案和解析>>

科目:高中数学 来源: 题型:


如图5所示,在四棱锥中,底面为矩形,平面,点在线段上,平面.

(Ⅰ)证明:平面

(Ⅱ)若,求二面角的正切值.

查看答案和解析>>

科目:高中数学 来源: 题型:


中,内角A、B、C的对边长分别为,已知,且 求b         

查看答案和解析>>

科目:高中数学 来源: 题型:


过椭圆的左焦点作互相垂直的两条直线,分别交椭圆于A、B、C、D四点,则四边形ABCD面积的最小值为

(A)    (B)      (C)      (D)

查看答案和解析>>

同步练习册答案