精英家教网 > 高中数学 > 题目详情
设函数f(x)=x2ex-1+ax3+bx2,已知x=-2和x=1为f(x)的极值点。
(1)求a和b的值;
(2)讨论f(x)的单调性。
解:显然f(x)的定义域为R,
(1)
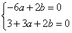
由x=-2和x=1为f(x)的极值点,得

解得:
(2)由(1)得
,得
f′(x)、f(x)随x的变化情况如下表:

从上表可知:函数f(x)在(-2,0)和(1,+∞)上是单调递增的,在(-∞,2)和(0,1)上是单调递减的。
练习册系列答案
相关习题

科目:高中数学 来源: 题型:

当p1,p2,…,pn均为正数时,称
n
p1+p2+…+pn
为p1,p2,…,pn的“均倒数”.已知数列{an}的各项均为正数,且其前n项的“均倒数”为
1
2n+1

(1)求数列{an}的通项公式;
(2)设cn=
an
2n+1
(n∈N*),试比较cn+1与cn的大小;
(3)设函数f(x)=-x2+4x-
an
2n+1
,是否存在最大的实数λ,使当x≤λ时,对于一切正整数n,都有f(x)≤0恒成立?

查看答案和解析>>

科目:高中数学 来源: 题型:

设函数f(x)=
x2+bx+c,(x<0)
-x+3,(x≥0)
,且f(-4)=f(0),f(-2)=-1.
(1)求函数f(x)的解析式; 
(2)画出函数f(x)的图象,并指出函数f(x)的单调区间.
(3)若方程f(x)=k有两个不等的实数根,求k的值.

查看答案和解析>>

科目:高中数学 来源: 题型:

已知△ABC中,角A,B,C所对边长分别是a,b,c,设函数f(x)=x2+bx-
1
4
为偶函数,且f(cos
B
2
)=0

(1)求角B的大小;
(2)若△ABC的面积为
3
4
,其外接圆的半径为
2
3
3
,求△ABC的周长.

查看答案和解析>>

科目:高中数学 来源: 题型:

设函数f(x)=
x2+bx+c,-4≤x<0
-x+3,0≤x≤4
,且f(-4)=f(0),f(-2)=-1.
(1)求函数f(x)的解析式;
(2)画出函数f(x)的图象,并写出函数f(x)的定义域、值域.

查看答案和解析>>

科目:高中数学 来源: 题型:

设函数f(x)=
x2-x+n
x2+x+1
(x∈R,x≠
n-1
2
,x∈N*)
,f(x)的最小值为an,最大值为bn,记cn=(1-an)(1-bn
则数列{cn}是
常数
常数
数列.(填等比、等差、常数或其他没有规律)

查看答案和解析>>

同步练习册答案