精英家教网 > 高中数学 > 题目详情
如图,正方形ABCD、ABEF的边长都是1,而且平面ABCD、ABEF互相垂直.点M在AC上移动,点N在BF上移动,若CM=BN=a(0<a<
(1)求MN的长;
(2)a为何值时,MN的长最小;
(3)当MN的长最小时,求面MNA与面MNB所成二面角α的大小.
解:(1)作MP∥AB交BC于点,NQ∥AB交BE于点Q,连接PQ,
依题意可得MP∥NQ,且MP=NQ,
即MNQP是平行四边形.
∴MN=PQ
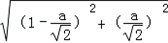
由已知CM=BN=a,CB=AB=BE=1


=
=
(2)由(1)知

=
=
所以,当时,即当M、N分别为AC、BF的中点时,MN的长最小,最小值为
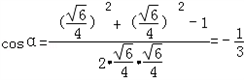
(3)取MN的中点G,连接AG、BG,
∵AM=AN,BM=BN,G为的中点
∴AG⊥MN,BG⊥MN,
即∠AGB即为二面角的平面角α

所以,由余弦定理有
故所求二面角为:
练习册系列答案
相关习题

科目:高中数学 来源: 题型:

精英家教网如图,正方形ABCD和四边形ACEF所在的平面互相垂直,CE⊥AC,EF∥AC,AB=
2
,CE=EF=1.
(Ⅰ)求证:AF∥平面BDE;
(Ⅱ)求证:CF⊥平面BDE;
(Ⅲ)求二面角A-BE-D的大小.

查看答案和解析>>

科目:高中数学 来源: 题型:

8、如图把正方形ABCD沿对角线BD折成直二面角,对于下面结论:
①AC⊥BD;
②CD⊥平面ABC;
③AB与BC成60°角;
④AB与平面BCD成45°角.
则其中正确的结论的序号为
①③④

查看答案和解析>>

科目:高中数学 来源: 题型:

如图,正方形ABCD、ABEF的边长都是1,而且平面ABCD、ABEF互相垂直,点M在AC上移动,点N在BF上移动,若CM=BN=a(0<a<
2
),则MN的长的最小值为 (  )

查看答案和解析>>

科目:高中数学 来源: 题型:

如图,正方形ABCD所在平面与等腰三角形EAD所在平面相交于AD,AE⊥平面CDE.
(I)求证:AB⊥平面ADE;
(II)(理)在线段BE上存在点M,使得直线AM与平面EAD所成角的正弦值为
6
3
,试确定点M的位置.
(文)若AD=2,求四棱锥E-ABCD的体积.

查看答案和解析>>

科目:高中数学 来源: 题型:

(2010•温州二模)如图,正方形ABCD与正方形CDEF所成的二面角为60°,则直线EC与直线AD所成的角的余弦值为
2
4
2
4

查看答案和解析>>

同步练习册答案