精英家教网 > 高中数学 > 题目详情

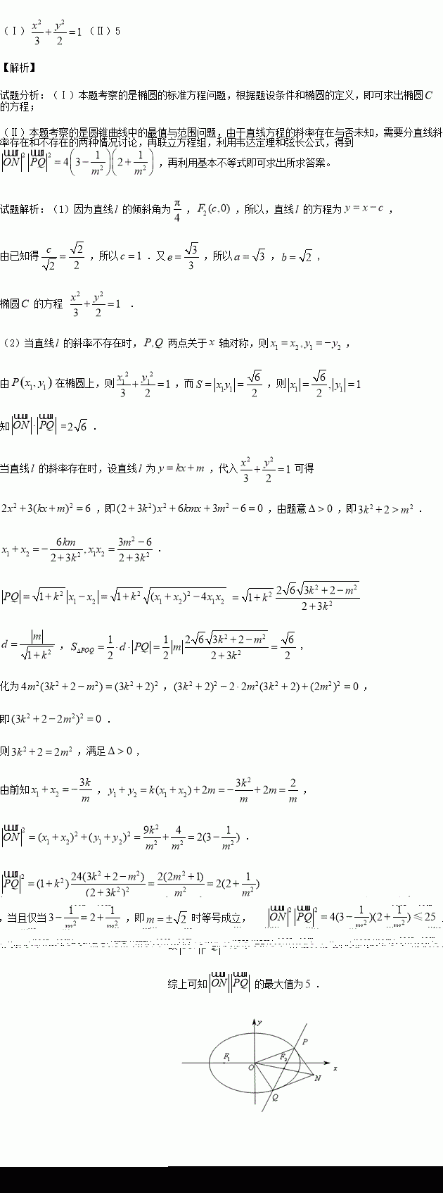
(本小题满分12分)已知椭圆,其中为左、右焦点,且离心率,直线与椭圆交于两不同点.当直线过椭圆C右焦点F2且倾斜角为时,原点O到直线的距离为

(Ⅰ)求椭圆C的方程;

(Ⅱ)若,当面积为时,求的最大值.

练习册系列答案
相关习题

科目:高中数学 来源:2015-2016学年广东省普宁市高二上期中文科数学试卷(解析版) 题型:选择题

已知某几何体的三视图(单位:Cm)如图所示,则该几何体的体积是( )

A.108Cm3 B.100 Cm3 C.92Cm3 D.84Cm3

查看答案和解析>>

科目:高中数学 来源:2016届辽宁省抚顺市高三上学期第一次模拟文科数学试卷(解析版) 题型:解答题

(本小题满分10分)选修4-5:不等式选讲.

已知函数

(Ⅰ)若不等式的解集为,求实数的值;

(Ⅱ)在(Ⅰ)的条件下,若存在实数使成立,求实数的取值范围.

查看答案和解析>>

科目:高中数学 来源:2016届贵州省贵阳市高三上学期第三次月考文科数学试卷(解析版) 题型:解答题

(本小题满分10分)【选修4-5:不等式选讲】

设函数).

(Ⅰ)证明:

(Ⅱ)若,求的取值范围.

查看答案和解析>>

科目:高中数学 来源:2016届福建省高三上学期期中理科数学试卷(解析版) 题型:填空题

函数的图像与函数的图像所有交点的横坐标之和等于

查看答案和解析>>

科目:高中数学 来源:2015-2016学年江西南昌二中高二上学期期中文科数学试卷(解析版) 题型:选择题

已知直线平行,则的值是

A.0或1 B.1或 C.0或 D.

查看答案和解析>>

科目:高中数学 来源:2015-2016学年吉林省高一上学期期中数学试卷(解析版) 题型:解答题

(本小题12分)化简求值:(Ⅰ)

(Ⅱ)

查看答案和解析>>

科目:高中数学 来源:2015-2016学年吉林实验中学高二上学期期中文科数学试卷(解析版) 题型:选择题

关于直线对称的圆的方程是

A. B.

C. D.

查看答案和解析>>

科目:高中数学 来源:2016届北京市海淀区高三上学期期中考试文科数学试卷(解析版) 题型:填空题

若等差数列满足,则= ______.

查看答案和解析>>

同步练习册答案