精英家教网 > 高中数学 > 题目详情

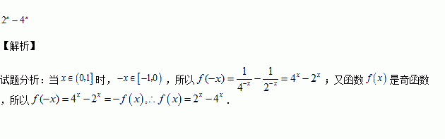
已知函数是奇函数.当时,,则当时,

练习册系列答案
相关习题

科目:高中数学 来源:2016届重庆市高三上学期第三次月考理科数学试卷(解析版) 题型:解答题

(本小题满分12分)某商家对他所经销的一种商品的日销售量(单位:吨)进行统计,最近50天的统计结果如下表:

日销售量

1

1.5

2

天数

10

25

15

频率

若以上表中频率作为概率,且每天的销售量相互独立.

(1)求5天中该种商品恰好有两天的销售量为1.5吨的概率;

(2)已知每顿该商品的销售利润为2千元,表示该种商品某两天销售利润的和(单位:千元),求的分布列和数学期望.

查看答案和解析>>

科目:高中数学 来源:2016届黑龙江省牡丹江市高三上学期期中理科数学试卷(解析版) 题型:选择题

已知函数的导函数,且,数列是以为公差的等差数列,

,则( )

A. B. C. D.

查看答案和解析>>

科目:高中数学 来源:2015-2016学年江西南昌二中高二上学期期中文科数学试卷(解析版) 题型:填空题

线段是椭圆的一动弦,且直线与直线交于点,则

查看答案和解析>>

科目:高中数学 来源:2015-2016学年江西南昌二中高二上学期期中理科数学试卷(解析版) 题型:选择题

如图,是双曲线的左、右焦点,过的直线与双曲线的左右两支分别交于点.若为等边三角形,则双曲线的离心率为

A.4 B. C. D.

查看答案和解析>>

科目:高中数学 来源:2015-2016学年吉林省高一上学期期中数学试卷(解析版) 题型:选择题

是定义在上的偶函数,则

(A) (B) (C) (D)

查看答案和解析>>

科目:高中数学 来源:2015-2016学年吉林实验中学高二上学期期中文科数学试卷(解析版) 题型:选择题

设椭圆的离心率为e=,右焦点为F(c,0),方程ax2+bx-c=0的两个实根分别为x1和x2,则点P(x1,x2)

A.必在圆x2+y2=2内 B.必在圆x2+y2=2上

C.必在圆x2+y2=2外 C.以上三种情形都有可能

查看答案和解析>>

科目:高中数学 来源:2016届江西省南昌市高三上第四次考试理科数学试卷(解析版) 题型:填空题

内有一个内接正方体,正方体的全面积为24,则球的体积是

查看答案和解析>>

科目:高中数学 来源:2016届浙江省嘉兴市高三上学期能力测试理科数学试卷(解析版) 题型:解答题

已知数列满足

(Ⅰ)证明:数列为单调递减数列;

(Ⅱ)记为数列的前项和,证明:

查看答案和解析>>

同步练习册答案