精英家教网 > 高中数学 > 题目详情

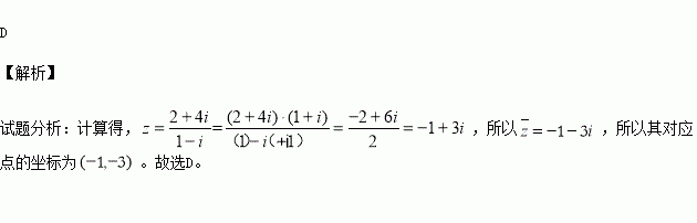
已知复数为虚数单位),则的共轭复数在复平面内对应点的坐标是( )

A. B. C. D.

练习册系列答案
相关习题

科目:高中数学 来源:2015-2016学年吉林省高二11月月考文科数学卷(解析版) 题型:解答题

(本小题满分12分)

在等差数列中,公差的等比中项.

(Ⅰ)求数列的通项公式;

(Ⅱ)设,数列的前项和为,求.

查看答案和解析>>

科目:高中数学 来源:2016届江苏省高三上学期周练数学试卷(解析版) 题型:填空题

已知全集,则的子集个数为

查看答案和解析>>

科目:高中数学 来源:2016届湖北武汉华中师大一附等高三上第一次联考文数学卷(解析版) 题型:选择题

欧拉公式为虚数单位)是由瑞士著名数学家欧拉发明的,它将指数函数的定义域扩大到复数,建立了三角函数和指数函数的关系,它在复变函数论里占有非常重要的地位,被誉为“数学中的天桥”,根据欧拉公式可知,表示的复数在复平面中位于( )

A.第一象限 B.第二象限 C.第三象限 D.第四象限

查看答案和解析>>

科目:高中数学 来源:2016届福建省高三上学期期中考理科数学试卷(解析版) 题型:解答题

在等差数列和等比数列中,),且成等差数列,成等比数列.

(1)求数列的通项公式;

(2)设,数列的前项和为,若对所有正整数恒成立,求常数的取值范围.

查看答案和解析>>

科目:高中数学 来源:2015-2016学年山西省太原市高二12月月考数学试卷(解析版) 题型:解答题

已知椭圆的离心率为,点上.

(1)求的标准方程;

(2)设直线过点,当绕点旋转的过程中,与椭圆有两个交点,求线段的中点的轨迹方程.

查看答案和解析>>

科目:高中数学 来源:2015-2016学年湖南师大附中高二上学期期中文科数学试卷(解析版) 题型:填空题

中,,则角A等于___________.

查看答案和解析>>

科目:高中数学 来源:2014-2015学年贵州省高二上学期半期考试文科数学试卷(解析版) 题型:选择题

已知两点,且的等差中项,则动点的轨迹方程是( ).

A. B.

C. D.

查看答案和解析>>

科目:高中数学 来源:2016届甘肃省高三12月月考理科数学试卷(解析版) 题型:选择题

已知是两条不同的直线,是三个不同的平面,则下列命题中正确的是( )

A.若

B.若

C.若

D.若

查看答案和解析>>

同步练习册答案