精英家教网 > 高中数学 > 题目详情

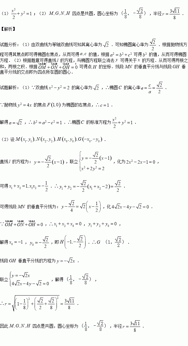
已知椭圆C:的离心率与双曲线的离心率互为倒数,且以抛物线的焦点F为右焦点.

(1)求椭圆C的标准方程;

(2)过右焦点F作斜率为的直线l交曲线C于M、N两点,且,又点H关于原点O的对称点为点G,试问M、G、N、H四点是否共圆?若共圆,求出圆心坐标和半径;若不共圆,请说明理由.

练习册系列答案
相关习题

科目:高中数学 来源:2015-2016学年江苏省高一创新班上期中数学试卷(解析版) 题型:填空题

函数为偶函数,对任意的都有)成立,则由大到小的顺序为

查看答案和解析>>

科目:高中数学 来源:2015-2016学年安徽省蚌埠市高一上学期期中数学试卷(解析版) 题型:解答题

化简、求值:

(1)

(2)计算

查看答案和解析>>

科目:高中数学 来源:2016届黑龙江牡丹江一中高三10月月考文数学试卷(解析版) 题型:解答题

已知函数是定义在上的奇函数,且时,

(1)求的解析式;

(2)当时,不等式恒成立,求实数的取值范围.

查看答案和解析>>

科目:高中数学 来源:2016届贵州省高三上学期第三次月考理科数学试卷(解析版) 题型:解答题

在一个盒子中,放有大小相同的红、白、黄三个小球,从中任意摸出一球,若是红球记分,白球记分,黄球记分.现从这个盒子中,有放回地先后摸出两球,所得分数分别记为,设为坐标原点,点的坐标为,记

(1)求随机变量的最大值,并求事件“取得最大值”的概率;

(2)求随机变量的分布列和数学期望.

查看答案和解析>>

科目:高中数学 来源:2016届广东省广州市高三上学期期中文科数学试卷(解析版) 题型:选择题

若复数,则的虚部为( )

A. B. C. D.

查看答案和解析>>

科目:高中数学 来源:2015-2016学年浙江慈溪中学高一1-3班上期中数学卷(解析版) 题型:填空题

已知中,重心,且,则

查看答案和解析>>

科目:高中数学 来源:2015-2016学年湖南衡阳八中高二上学期期中文科数学试卷(解析版) 题型:选择题

已知双曲线的焦距为10,点的渐近线上,则的方程为( )

A、 B、 C、 D、

查看答案和解析>>

科目:高中数学 来源:2015-2016学年吉林省扶余市高一上学期期中考试数学试卷(解析版) 题型:填空题

函数为奇函数,则的值为

查看答案和解析>>

同步练习册答案