精英家教网 > 高中数学 > 题目详情
甲、乙两人参加一次英语口语考试,已知在备选的10道试题中,甲能答对其中6题,乙能答对其中的8题,规定每次考试都从备选题中随机抽出3题进行测试,至少答对2题才算合格.
(1)求甲答对试题数不多于2道的概率;
(2)求甲、乙两人至少有一人考试合格的概率.
【答案】分析:(1)求甲答对试题数不多于2道是指甲答对试题数为0,1,2,即可求出概率,或用其对立事件:甲答对试题数3道求概率;
(2)先求甲、乙两人考试合格的事件的概率,从而可求甲、乙两人考试均不合格的概率,进而用对立事件,可求甲、乙两人至少一个合格的概率
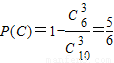
解答:解:(1)依题意,设事件C表示甲答对的试题数不多于2道.
或者(6分)
(2)设甲、乙两人考试合格的事件分别为A、B
则 
…(8分)
甲、乙两人考试均不合格的概率为:(10分)
∴甲、乙两人至少一个合格的概率为…(12分)
点评:本题考查等可能事件的概率,考查对立事件的概率,考查相互对立事件的概率,解题的关键是搞清事件间的关系,选择正确的概率公式.
练习册系列答案
相关习题

科目:高中数学 来源: 题型:

甲、乙两人参加一次英语口语考试,已知在备选的10道试题中,甲能答对其中的6题,乙能答对其中的8题.规定每次考试都从备选题中随机抽出3题进行测试,至少答对2题才算合格.
(Ⅰ)分别求甲、乙两人考试合格的概率;
(Ⅱ)求甲、乙两人至少有一人考试合格的概率.

查看答案和解析>>

科目:高中数学 来源: 题型:

某地区对12岁儿童瞬时记忆能力进行调查.瞬时记忆能力包括听觉记忆能力与视觉记忆能力.某班学甲、乙两人参加一次英语口语考试,已知在备选的10道试题中,甲能答对其中的6题,乙能答对其中的8题.规定每次考试都从备选题中随机抽出3题进行测试,至少答对2题才算合格.
(Ⅰ)求甲、乙两人考试均合格的概率;
(Ⅱ)求甲答对试题数ξ的概率分布及数学期望.

查看答案和解析>>

科目:高中数学 来源: 题型:

甲、乙两人参加一次英语口语考试,已知在备选的10道试题中,甲能答对其中的6题,乙能答对其中的8题.规定每次考试都从备选题中随机抽出3题进行测试,至少答对2题才算合格.
(Ⅰ)若甲没有通过测试,求甲选择试题有多少种?
(Ⅱ)求甲、乙两人考试均合格的概率.

查看答案和解析>>

科目:高中数学 来源: 题型:

甲、乙两人参加一次英语口语考试,已知在备选的10道试题中,甲能答对其中6题,乙能答对其中的8题,规定每次考试都从备选题中随机抽出3题进行测试,至少答对2题才算合格.
(1)求甲答对试题数不多于2道的概率;
(2)求甲、乙两人至少有一人考试合格的概率.

查看答案和解析>>

科目:高中数学 来源: 题型:

甲、乙两人参加一次英语口语考试,已知在编号为1~10的10道试题中,甲能答对编号为1~6的6道题,乙能答对编号为3~10的8道题,规定每位考生都从备选题中抽出3道试题进行测试,至少答对2道才算合格,
(1)求甲答对试题数ξ的概率分布及数学期望;
(2)求甲、乙两人至少有一人考试合格的概率.

查看答案和解析>>

同步练习册答案