精英家教网 > 高中数学 > 题目详情
已知命题“p:?x∈[1,2],x2-a≥0”命题q:“?x>0,x2+2ax+2-a=0”是否存在实数a,使“命题p∧q”为真命题,若存在,求a的取值范围,若不存在,请说明理由.
【答案】分析:求出命题p为真命题的a的范围,再通过分类讨论求出q为真命题的a的范围,“命题p∧q”为真命题,即命题q 命题p都是真命题,写出a的范围.
解答:解:已知命题“p:?x∈[1,2],x2-a≥0”为真,
则x2≥a在[1,2]恒成立,
∵x2≥1
∴a≤1
命题q:“?x>0,x2+2ax+2-a=0为真
令f(x)=x2+2ax+2-a=0在(0,+∞)上有解
1:2-a=0即a=2,原式为:x2+4x=0不满足题意
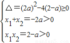
2:一正一负根
f(0)<0即2-a<0即a>2
3:两个正根
∴a≤-2
由以上可得:a≤-2或a>2
“命题p∧q”为真命题,
即命题q 命题p都是真命题
∴a≤-2
点评:本题是一道综合题,主要利用命题的真假关系,将复合命题的真假转化为简单命题的真假来解决.
练习册系列答案
相关习题

科目:高中数学 来源: 题型:

已知命题P:?x∈R,使x2-x+a=0;命题Q:函数y=
ax-1
ax2+ax+1
的定义域为R.
(1)若命题P为真,求实数a的取值范围;
(2)若命题Q为真,求实数a的取值范围;
(3)如果P∧Q为假,P∨Q为真,求实数a的取值范围.

查看答案和解析>>

科目:高中数学 来源: 题型:

已知命题p:?x∈R,2x2+2x+
1
2
<0
;命题q:?x∈R,sinx-cosx=
2
.则下列判断正确的是(  )
A、p是真命题
B、q是假命题
C、¬P是假命题
D、¬q是假命题

查看答案和解析>>

科目:高中数学 来源: 题型:

已知命题p:x=2k+1(k∈Z),命题q:x=4k-1(k∈Z),则p是q的(  )

查看答案和解析>>

科目:高中数学 来源: 题型:

已知命题p:?x∈R,x2+2ax+a≤0,则命题p的否定是
?x?R,x2+2ax+a>0
?x?R,x2+2ax+a>0
;若命题p为假命题,则实数a的取值范围是
(0,1)
(0,1)

查看答案和解析>>

科目:高中数学 来源: 题型:

已知命题p:?x∈R,使2x2+(k-1)x+
1
2
<0;命题q:方程
x2
9-k
-
y2
k-1
=1
表示双曲线.若p∧q为真命题,求实数k的取值范围.

查看答案和解析>>

同步练习册答案