精英家教网 > 高中数学 > 题目详情

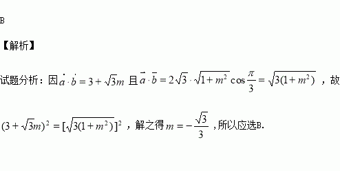
已知向量,若向量的夹角为,则实数的值为( )

A. B. C. D.

练习册系列答案
相关习题

科目:高中数学 来源:2015-2016学年安徽六安一中高一下周末统测十六数学试卷(解析版) 题型:选择题

已知某程序框图如图所示,则该程序运行后输出的结果为( )

A. B. C. D.

查看答案和解析>>

科目:高中数学 来源:2015-2016学年广西宾阳县宾阳中学高一3月月考数学试卷(解析版) 题型:选择题

分别以正方形ABCD的四条边为直径画半圆,重叠部分如图中阴影区域所示,若向该正方形内随机投一点,则该点落在阴影区域的概率为( )

A. B.

C. D.

查看答案和解析>>

科目:高中数学 来源:2016届福建省厦门市高三5月月考文科数学试卷(解析版) 题型:解答题

某商场对甲、乙两种品牌的牛奶进行为期100天的营销活动,为调查这100天的日销售情况,用简单随机抽样抽取10天进行统计,以它们的销售数量(单位:件)作为样本,样本数据的茎叶图如图,已知该样本中,甲品牌牛奶销量的平均数为48件,乙品牌牛奶销量的中位数为43件,将日销售量不低于50件的日期称为“畅销日”.

(1)求出的值;

(2)以10天的销售量为样本,估计100天的销量,请完成这两种品牌100天销量的列联表,并判断

是否有99%的把握认为品牌与“畅销日”天数有关.

查看答案和解析>>

科目:高中数学 来源:2016届福建省厦门市高三5月月考文科数学试卷(解析版) 题型:选择题

已知点是椭圆上的动点,且,则的取值范围是( )

A. B. C. D.

查看答案和解析>>

科目:高中数学 来源:2016届福建省厦门市高三5月月考文科数学试卷(解析版) 题型:选择题

若集合,则( )

A. B. C. D.

查看答案和解析>>

科目:高中数学 来源:2016届福建省厦门市高三5月月考理科数学试卷(解析版) 题型:解答题

如图,等腰梯形的底角等于,其外接圆圆心在边上,直角梯形垂直于圆所在的平面,,且.

(1)证明:平面平面

(2)若二面角的平面角等于,求多面体的体积.

查看答案和解析>>

科目:高中数学 来源:2016届福建省厦门市高三5月月考理科数学试卷(解析版) 题型:选择题

若集合,则( )

A. B. C. D.

查看答案和解析>>

科目:高中数学 来源:2015-2016学年安徽省安庆六校高二下期中理科数学试卷(解析版) 题型:解答题

甲、乙两袋中各装有大小相同的小球9个,其中甲袋中红色、黑色、白色小球的个数分别为2,3,4,乙袋中红色、黑色、白色小球的个数均为3,某人用左右手分别从甲、乙两袋中取球.

(1)若左右手各取一球,求两只手中所取的球颜色不同的概率;

(2)若左右手依次各取两球,称同一手中两球颜色相同的取法为成功取法,记两次取球(左右手依次各取两球为两次取球)的成功取法次数为随机变量X,求X的分布列。

查看答案和解析>>

同步练习册答案