精英家教网 > 高中数学 > 题目详情

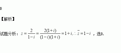
若复数,其中i为虚数单位,则 =

(A)1+i (B)1?i (C)?1+i (D)?1?i

练习册系列答案
相关习题

科目:高中数学 来源:2016年全国普通高等学校招生统一考试理科数学(上海卷参考版) 题型:填空题

方程在区间上的解为___________.

查看答案和解析>>

科目:高中数学 来源:2016年全国普通高等学校招生统一考试理科数学(山东卷参考版) 题型:选择题

若函数y=f(x)的图象上存在两点,使得函数的图象在这两点处的切线互相垂直,则称y=f(x)具有T性质.下列函数中具有T性质的是

(A)y=sinx (B)y=lnx (C)y=ex (D)y=x3

查看答案和解析>>

科目:高中数学 来源:2016年全国普通高等学校招生统一考试文科数学(山东卷参考版) 题型:填空题

已知双曲线E:=1(a>0,b>0).矩形ABCD的四个顶点在E上,AB,CD的中点为E的两个焦点,且2|AB|=3|BC|,则E的离心率是_______.

查看答案和解析>>

科目:高中数学 来源:2016年全国普通高等学校招生统一考试文科数学(山东卷参考版) 题型:选择题

已知圆M:截直线所得线段的长度是,则圆M与圆N:的位置关系是

(A)内切 (B)相交 (C)外切 (D)相离

查看答案和解析>>

科目:高中数学 来源:2016年全国普通高等学校招生统一考试理科数学(四川卷参考版) 题型:解答题

如图,在四棱锥P-ABCD中,AD∥BC,ADC=PAB=90°,BC=CD= AD.E为边AD的中点,异面直线PA与CD所成的角为90°.

(Ⅰ)在平面PAB内找一点M,使得直线CM∥平面PBE,并说明理由;

(Ⅱ)若二面角P-CD-A的大小为45°,求直线PA与平面PCE所成角的正弦值.

查看答案和解析>>

科目:高中数学 来源:2016年全国普通高等学校招生统一考试理科数学(四川卷参考版) 题型:填空题

cos2–sin2= .

查看答案和解析>>

科目:高中数学 来源:2016年全国普通高等学校招生统一考试文科数学(四川卷参考版) 题型:填空题

在平面直角坐标系中,当P(x,y)不是原点时,定义P的“伴随点”为P当P是原点时,定义“伴随点”为它自身,现有下列命题:

?若点A的“伴随点”是点,则点的“伴随点”是点A.

?单元圆上的“伴随点”还在单位圆上。

?若两点关于x轴对称,则他们的“伴随点”关于y轴对称

④若三点在同一条直线上,则他们的“伴随点”一定共线。

其中的真命题是

查看答案和解析>>

科目:高中数学 来源:2016年全国普通高等学校招生统一考试文科数学(浙江卷参考版) 题型:填空题

如图,已知平面四边形ABCD,AB=BC=3,CD=1,AD=,∠ADC=90°.沿直线AC将△ACD翻折成△ACD',直线AC与BD'所成角的余弦的最大值是______.

查看答案和解析>>

同步练习册答案