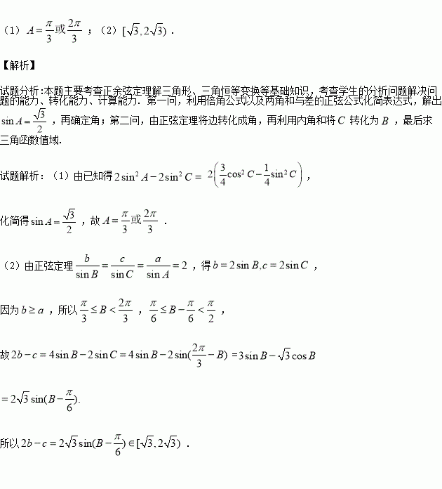
在△ABC中,角A、B、C所对的边分别为a、b、c,且满足cos2C-cos2A=2sin(
+C)·sin(
-C).
(Ⅰ)求角A的值;
(Ⅱ)若a=
且b≥a,求2b-c的取值范围.
科目:高中数学 来源:2015-2016学年湖北省高二3月月考理科数学试卷(解析版) 题型:解答题
已知a∈R,设命题p:函数f(x)=ax (a>0且a≠1)是R上的单调递减函数;命题q:函数g(x)=lg(2ax2+2ax+1)的定义域为R.若“p?q”是真命题,“p?q”是假命题,求实数a的取值范围.
查看答案和解析>>
科目:高中数学 来源:2016届河南省南阳、周口、驻马店等六市高三第一次联考文科数学试卷(解析版) 题型:解答题
已知
点在
直径
的延长线上,
切
于
点,
是
的平分线且交
于点
,交
于点
.
![]()
(1)求
的度数;
(2)若
,求
的值.
查看答案和解析>>
科目:高中数学 来源:2016届河南省南阳、周口、驻马店等六市高三第一次联考文科数学试卷(解析版) 题型:选择题
各项为正的等比数列
中,
与
的等比中项为
,则
的值 为( )
A.4 B.3 C.2 D.1
查看答案和解析>>
科目:高中数学 来源:2016届河南省郑州市高三第二次模拟考试文科数学试卷(解析版) 题型:解答题
选修4—1:几何证明选讲
如图,正方形ABCD边长为2,以A为圆心、DA为半径的圆弧与以BC为直径的半圆O交于点F,连结BF并延长交CD于点E.
![]()
(Ⅰ)求证:E为CD的中点;
(Ⅱ)求EF·FB的值.
查看答案和解析>>
科目:高中数学 来源:2016届河南省郑州市高三第二次模拟考试文科数学试卷(解析版) 题型:选择题
对
∈R,n∈[0,2],向量c=(2n+3cosα,n-3sinα)的长度不超过6的概率为( )
A.
B.
C.
D.![]()
查看答案和解析>>
科目:高中数学 来源:2016届河南省郑州市高三第二次模拟考试文科数学试卷(解析版) 题型:选择题
某程序框图如图所示,则该程序运行后输出的值是( )
![]()
A.2014 B.2015 C.2016 D.2017
查看答案和解析>>
科目:高中数学 来源:2016届河南省郑州市高三第二次模拟考试理科数学试卷(解析版) 题型:选择题
已知
为
的三个内角,向量
满足
,且
,若
最大时,动点
使得
、
、
成等差数列,则
的最大值是( )
A.
B.
C.
D.![]()
查看答案和解析>>
科目:高中数学 来源:2016届河北省石家庄市高三复习教学质量检测二文科数学试卷(解析版) 题型:解答题
如图,在四棱锥中
,底面ABCD为边长为
的正方形,
![]()
(Ⅰ)求证:![]()
(Ⅱ)若E,F分别为PC,AB的中点,
平面
求三棱锥的
体积.
查看答案和解析>>
湖北省互联网违法和不良信息举报平台 | 网上有害信息举报专区 | 电信诈骗举报专区 | 涉历史虚无主义有害信息举报专区 | 涉企侵权举报专区
违法和不良信息举报电话:027-86699610 举报邮箱:58377363@163.com