精英家教网 > 高中数学 > 题目详情

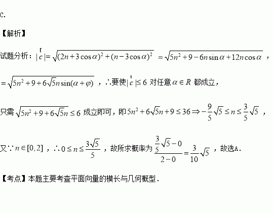
∈R,n∈[0,2],向量c=(2n+3cosα,n-3sinα)的长度不超过6的概率为( )

A. B. C. D.

练习册系列答案
相关习题

科目:高中数学 来源:2015-2016学年湖北省高二3月月考理科数学试卷(解析版) 题型:选择题

已知f(x)=aln(x+1)-x2在区间(0,1)内任取两个实数p、q,且p≠q,不等式>1恒成立,则实数a的取值范围为

A.(-∞,15] B.[15,+∞) C.(-12,15] D.(12,30]

查看答案和解析>>

科目:高中数学 来源:2016届河南省南阳、周口、驻马店等六市高三第一次联考文科数学试卷(解析版) 题型:解答题

已知函数. (1)当时,求的值域;(2)若的内角的对边分别为且满足,求的值.

查看答案和解析>>

科目:高中数学 来源:2016届河南省郑州市高三第二次模拟考试文科数学试卷(解析版) 题型:解答题

选修4—5:不等式选讲

已知函数f(x)=|x+6|-|m-x|(m∈R).

(Ⅰ)当m=3时,求不等式f(x)≥5的解集;

(Ⅱ)若不等式f(x)≤7对任意实数x恒成立,求m的取值范围.

查看答案和解析>>

科目:高中数学 来源:2016届河南省郑州市高三第二次模拟考试文科数学试卷(解析版) 题型:解答题

在△ABC中,角A、B、C所对的边分别为a、b、c,且满足cos2C-cos2A=2sin(+C)·sin(-C).

(Ⅰ)求角A的值;

(Ⅱ)若a=且b≥a,求2b-c的取值范围.

查看答案和解析>>

科目:高中数学 来源:2016届河南省郑州市高三第二次模拟考试文科数学试卷(解析版) 题型:选择题

平面内满足约束条件,的点(x,y)形成的区域为M,区域M关于直线2x+y=0的对称区域为,则区域M和区域内最近的两点的距离为( )

A. B. C. D.

查看答案和解析>>

科目:高中数学 来源:2016届河南省郑州市高三第二次模拟考试理科数学试卷(解析版) 题型:解答题

选修4-5:不等式选讲

已知函数.

(1)当时,求不等式的解集;

(2)若不等式对任意实数恒成立,求的取值范围.

查看答案和解析>>

科目:高中数学 来源:2016届河南省郑州市高三第二次模拟考试理科数学试卷(解析版) 题型:选择题

将函数的图象向右平移个单位后得到函数,则具有性质( )

A.最大值为,图象关于直线对称

B.在上单调递减,为奇函数

C.在上单调递增,为偶函数

D.周期为,图象关于点对称

查看答案和解析>>

科目:高中数学 来源:2016届河北省石家庄市高三复习教学质量检测二文科数学试卷(解析版) 题型:填空题

已知数列满足,且,则的值为 .

查看答案和解析>>

同步练习册答案