精英家教网 > 高中数学 > 题目详情

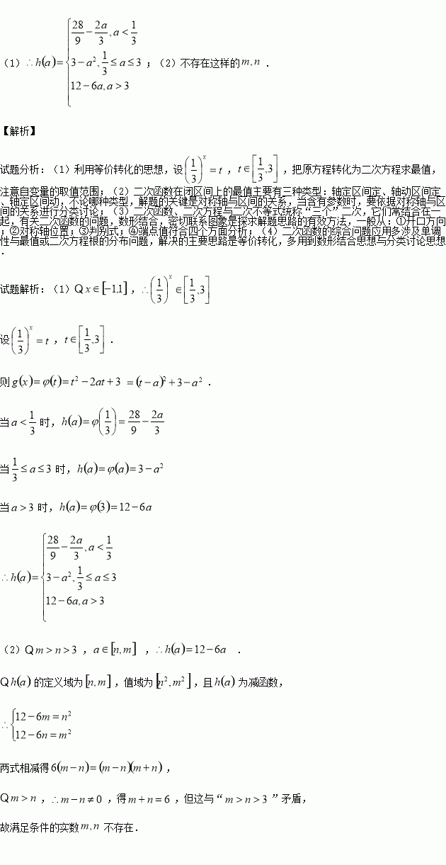
已知函数,函数的最小值为

(1)求

(2)是否存在实数同时满足以下条件:

②当的定义域为时,值域为.若存在,求出的值;若不存在,说明理由

练习册系列答案
相关习题

科目:高中数学 来源:2016届浙江省绍兴市高三上学期期中文科数学试卷(解析版) 题型:选择题

已知为偶函数,当时,,满足的实数的个数为( )

A. B. C. D.

查看答案和解析>>

科目:高中数学 来源:2015-2016学年山西省高二上期中文科数学试卷(解析版) 题型:选择题

中,,M为AB的中点,将沿CM折起,使间的距离为,则M到平面ABC的距离为

A. B. C.1 D.

查看答案和解析>>

科目:高中数学 来源:2015-2016学年江苏省高一创新班上期中数学试卷(解析版) 题型:填空题

查看答案和解析>>

科目:高中数学 来源:2015-2016学年吉林省高一上期中文科数学试卷(解析版) 题型:解答题

在平面直角坐标系中,点在角的终边上,点在角β的终边上,点在角终边上.

(1)求的值;

(2)求的值.

查看答案和解析>>

科目:高中数学 来源:2015-2016学年吉林省高一上期中理科数学试卷(解析版) 题型:选择题

,那么 ( )

A. B. C. D.

查看答案和解析>>

科目:高中数学 来源:2015-2016学年湖北孝感高中高二上学期期中理科数学试卷(解析版) 题型:解答题

设有关于x的一元二次方程

(1)若是从0,1,2,3四个数中任取的一个数,是从0,1,2三个数中任取的一个数,求上述方程有实根的概率.

(2)若是从区间任取得一个数,是从区间任取的一个数,求上述方程有实根的概率.

查看答案和解析>>

科目:高中数学 来源:2015-2016学年安徽省蚌埠市高一上学期期中数学试卷(解析版) 题型:填空题

下面命题:①幂函数图象不过第四象限;②图象是一条直线;③若函数的定义域是,则它的值域是;④若函数的定义域是,则它的值域是;⑤若函数的值域是,则它的定义域一定是.其中不正确命题的序号是

查看答案和解析>>

科目:高中数学 来源:2015-2016学年浙江慈溪中学高一1-3班上期中数学卷(解析版) 题型:填空题

设全集,集合,则

查看答案和解析>>

同步练习册答案