精英家教网 > 高中数学 > 题目详情

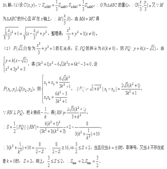
在直角坐标平面中,的两个顶点为,平面内两点同时满足:的重心;三点的距离相等;直线的倾斜角为.

(1)求证:顶点在定椭圆上,并求椭圆的方程;

(2)设都在曲线上,点,直线都过点并且相互垂直,求四边形的面积的最大值和最小值.

练习册系列答案
相关习题

科目:高中数学 来源: 题型:


函数的图象如下左图,则函数的图象可能是

查看答案和解析>>

科目:高中数学 来源: 题型:


,直线.若圆既与线段又与直线有公共点,则实数的取值范围是        .

查看答案和解析>>

科目:高中数学 来源: 题型:


已知一个圆锥的侧面展开图是一个半径为,圆心角为的扇形,则此圆锥的体积为         

查看答案和解析>>

科目:高中数学 来源: 题型:


某校高二年级的一次数学考试中,为了分析学生的得分情况,随机抽取名同学的成绩,数据的分组统计表如下:

分组

频数

频率

频率/组距

(40,50]

2

0.02

0.002

(50,60]

4

0.04

  0.004[来源:学科网]

(60,70]

11

0.11

0.011

(70,80]

38

0.38

0.038

(80,90]

(90,100]

11

0.11

0.011

合计

(1)求出表中的值;

(2)根据上表,请在画出频率分布直方图;

(3)为了了解某些同学在数学学习中存在的问题,现从样本中分数在中的6位同学中任意抽取2人进行调查,求分数在中各有一人的概率.

查看答案和解析>>

科目:高中数学 来源: 题型:


”是“”的

A.充分不必要条件   B.必要不充分条件   C.充要条件   D.既不充分也不必要条件

查看答案和解析>>

科目:高中数学 来源: 题型:


平面向量的夹角为,则=        .

查看答案和解析>>

科目:高中数学 来源: 题型:


在复平面内,复数z1z2对应的点分别是AB(如图所示),则复数的值是________.

查看答案和解析>>

科目:高中数学 来源: 题型:


已知都是定义在上的函数,,且,且.若数列的前项和大于

的最小值为                                                      (   )

   A.6                  B.7                C.8               D.9

查看答案和解析>>

同步练习册答案