精英家教网 > 高中数学 > 题目详情

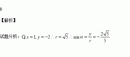
的终边上有一点,则( )

A. B. C. D.

练习册系列答案
相关习题

科目:高中数学 来源:2016届黑龙江省高三第一阶段考试理科数学试卷(解析版) 题型:选择题

,若┑p是┑q的必要不充分条件,则实数a的取值范围是( )

A. B. C. D.

查看答案和解析>>

科目:高中数学 来源:2015-2016学年黑龙江省牡丹江市高一上学期9月月考数学试卷(解析版) 题型:填空题

已知命题,命题,若的充分不必要条件,则的取值范围为

查看答案和解析>>

科目:高中数学 来源:2015-2016学年河北省高二上学期第二次月考文数学试卷(解析版) 题型:选择题

从集合任意取出两个数,这两个数的和是偶数的概率是( )

A. B. C. D.

查看答案和解析>>

科目:高中数学 来源:2015-2016学年河北省高二上学期第二次月考理数学试卷(解析版) 题型:选择题

从装有两个红球和两个黑球的口袋里任取两个球,那么互斥而不对立的两个事件是( )

A.“至少有一个黑球”与“都是黑球”

B.“至少有一个黑球”与“至少有一个红球”

C.“恰好有一个黑球”与“恰好有两个黑球”

D.“至少有一个黑球”与“都是红球”

查看答案和解析>>

科目:高中数学 来源:2015-2016学年广西钦州港开发区中学高二上第一次月考理科数学试卷(解析版) 题型:填空题

已知,则的值是( )

A. B. C. D.

查看答案和解析>>

科目:高中数学 来源:2015-2016学年广东省清远市实验学校高二10月月考数学试卷(解析版) 题型:解答题

(本题满分12分)设数列的前n项和为,且=2-2;数列为等差数列,且

(1)求数列的通项公式;

(2)求数列的前n项和

(3)若为数列的前n项和,求

查看答案和解析>>

科目:高中数学 来源:2015-2016学年福建省福安市高二上学期第一次月考试数学试卷(解析版) 题型:解答题

(本小题满分13分)设数列的前项和分别为,已知,其中

(1)求数列的通项公式;

(2)求数列的前项和

(3)且符号表示不超过的最大整数,例如。当时,试求

查看答案和解析>>

科目:高中数学 来源:2015-2016学年黑龙江省高一上学期第一阶段考数学试卷(解析版) 题型:选择题

设集合,则 ( )

A. B. C. D.

查看答案和解析>>

同步练习册答案