精英家教网 > 高中数学 > 题目详情
求圆心在直线x+y=0上,且过A(-4,0),B(0,2)两点的圆的方程。
解法一:(利用圆心到两交点的距离相等求圆心)
因所求圆心在直线x+y=0上,故设所求圆心坐标为(x,-x),
则它到上面的两交点(-4,0)和(0,2)的距离相等,
故有
即4x=-12,∴x=-3,y=-x=3,
从而圆心坐标是(-3,3),

故所求圆的方程为
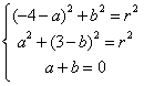
解法二:(用待定系数法求圆的方程)
设所求圆的方程为
因两点在此圆上,且圆心在x+y=0上,
所以,可得方程组
解得:
故所求圆的方程为
练习册系列答案
相关习题

科目:高中数学 来源: 题型:

求圆心在直线x+y=0上,且过两圆x2+y2-2x+10y-24=0,x2+y2+2x+2y-8=0交点的圆的方程.

查看答案和解析>>

科目:高中数学 来源: 题型:

求圆心在直线x+y=0上,且过A(-4,0),B(0,2)两点的圆的方程.

查看答案和解析>>

科目:高中数学 来源: 题型:

求圆心在直线x-y-4=0上,并且经过圆x2+y2+6x-4=0与圆x2+y2+6y-28=0的交点的圆的方程.

查看答案和解析>>

科目:高中数学 来源: 题型:

求圆心在直线x-y+1=0上,且经过圆x2+y2+6x-4=0与圆x2+y2+6y-28=0的交点的圆方程.

查看答案和解析>>

科目:高中数学 来源: 题型:

求圆心在直线x-y-4=0上,并且经过C1x2+y2+2x+8y-8=0和圆C2x2+y2-4x-4y-2=0的交点的圆的方程.

查看答案和解析>>

同步练习册答案