精英家教网 > 高中数学 > 题目详情

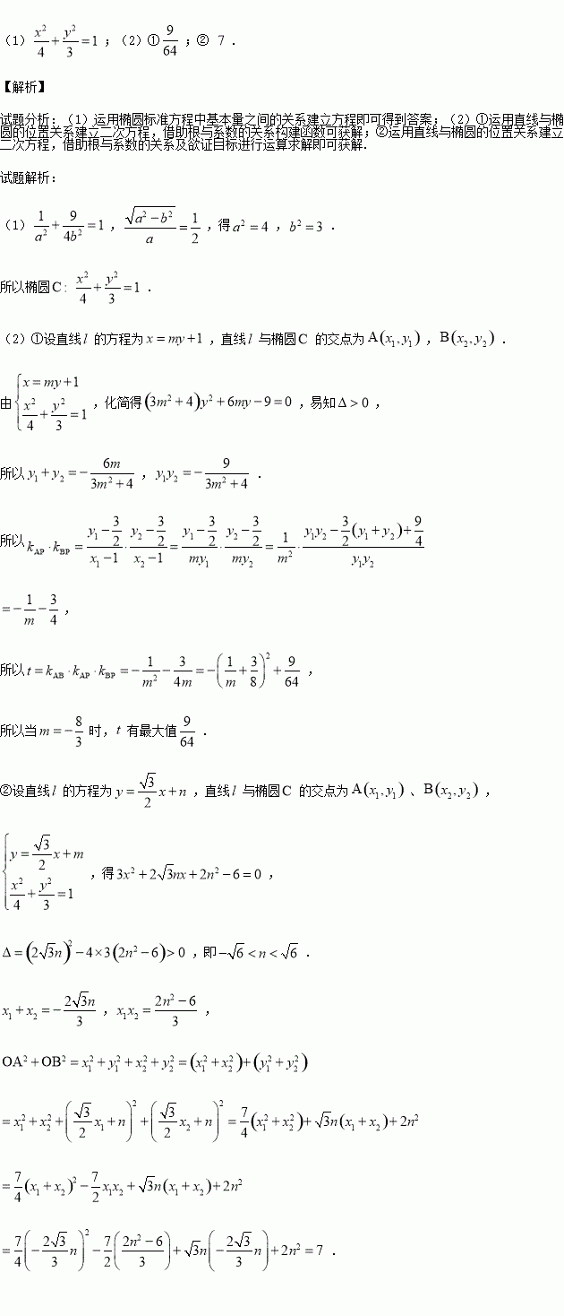
在平面直角坐标系中,已知椭圆)过点,离心率为

(1)求椭圆的方程;

(2)设直线与椭圆交于两点.

①若直线过椭圆的右焦点,记三条边所在直线的斜率的乘积为,求的最大值;

②若直线的斜率为,试探究是否为定值,若是定值,则求出此定值;若不是定值,请说明理由.

练习册系列答案
相关习题

科目:高中数学 来源:2015-2016年内蒙古高二普通4月考理数学卷(解析版) 题型:解答题

一个袋中装有8个大小质地相同的球,其中4个红球、4个白球,现从中任意取出四个球,设X为取得红球的个数.

(1)求X的分布列;

(2)若摸出4个都是红球记5分,摸出3个红球记4分,否则记2分.求得分的期望.

查看答案和解析>>

科目:高中数学 来源:2016届山东省济宁市高三下学期3月模拟考试理数试卷(解析版) 题型:解答题

定义在上的函数满足,函数(其中为常数),若函数处的切线与轴垂直

(1)求函数的解析式;

(2)求函数的单调区间;

(3)若满足恒成立,则称更靠近,在函数有极值的前提下,当时,更靠近,试求的取值范围

查看答案和解析>>

科目:高中数学 来源:2016届山东省济宁市高三下学期3月模拟考试理数试卷(解析版) 题型:选择题

某产品在某零售摊位的零售价(单位:元)与每天的销售量(单位:个)的统计资料如下表所示,

由表可得回归直线方程中的,据此模型预测零售价为20元时,每天的销售量为( )

A.26个 B.27个 C.28个 D.29个

查看答案和解析>>

科目:高中数学 来源:2016届江苏省高三下学期周练数学试卷(解析版) 题型:解答题

在平面直角坐标系中,直线的参数方程为为参数),以原点为极点,轴的正半轴为极轴建立极坐标系,的极坐标方程为.设为直线上一动点,当到圆心的距离最小时,求点的直角坐标.

查看答案和解析>>

科目:高中数学 来源:2016届江苏省高三下学期周练数学试卷(解析版) 题型:填空题

已知函数,其中,若关于的不等式的解的最小值为,则的取值范围是

查看答案和解析>>

科目:高中数学 来源:2016届江苏省高三下学期周练数学试卷(解析版) 题型:填空题

为强化安全意识,某校拟在周一至周五的五天中随机选择天进行紧急疏散演练,则选择的

恰好为连续天的概率是

查看答案和解析>>

科目:高中数学 来源:2015-2016学年江苏省高一下第二次月考数学试卷(解析版) 题型:填空题

作直线的垂线,则直线间的距离为__________.

查看答案和解析>>

科目:高中数学 来源:2015-2016学年四川绵阳南山中学高二4月月考文科数学卷(解析版) 题型:选择题

的圆心的极坐标是( )

A. B. C. D.

查看答案和解析>>

同步练习册答案