精英家教网 > 高中数学 > 题目详情

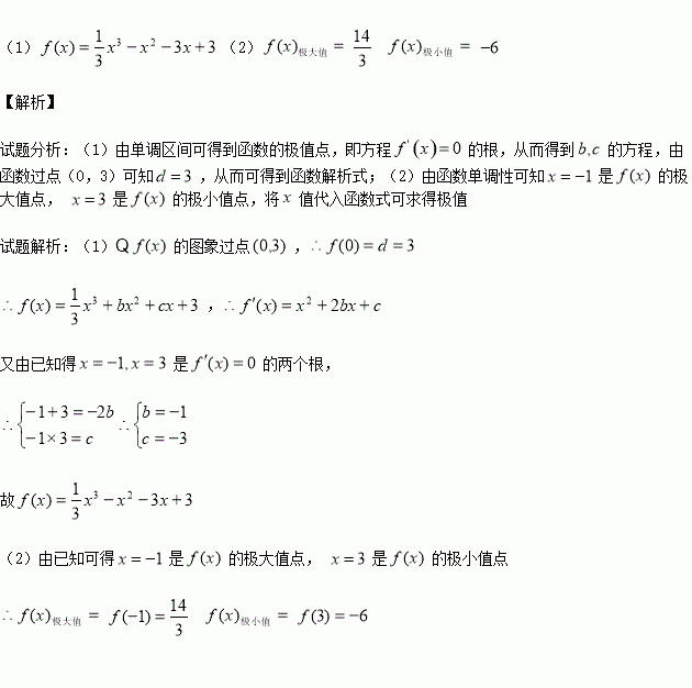
已知函数的图象过点(0,3),且在上为增函数,在上为减函数.

(1)求的解析式;

(2)求在R上的极值.

练习册系列答案
相关习题

科目:高中数学 来源:2016届广东省惠州市高三上学期第二次调研考试理科数学试卷(解析版) 题型:解答题

(本小题满分12分)已知函数

(Ⅰ)求函数的最大值;

(Ⅱ)若函数有相同极值点.

①求实数的值;

②若对于为自然对数的底数),不等式恒成立,求实数的取值范围.

查看答案和解析>>

科目:高中数学 来源:2015-2016学年河北省定州市高二上学期竞赛数学试卷(解析版) 题型:选择题

方程4x2-y2+4x+2y=0表示的曲线是( )

A.一个点 B.两条互相平行的直线

C.两条互相垂直的直线 D.两条相交但不垂直的直线

查看答案和解析>>

科目:高中数学 来源:2014-2015学年陕西省西安市高一上学期期中考试数学试卷(解析版) 题型:选择题

设全集等于 ( )

A. B. C. D.

查看答案和解析>>

科目:高中数学 来源:2014-2015学年湖北武汉外国语学校高二上学期期中考试文科数学试卷(解析版) 题型:填空题

椭圆 的焦点为,点P在椭圆上,若,则的大小为

查看答案和解析>>

科目:高中数学 来源:2014-2015学年河北省高一5月月考数学试卷(解析版) 题型:解答题

(本题满分10分)已知某几何体的俯视图是如图所示的矩形,主视图(或称正视图)是一个底边长为8,高为4的等腰三角形,侧视图(或称左视图)是一个底边长为6,高为4的等腰三角形.

(1)求该几何体的体积V;

(2)求该几何体的侧面积S.

查看答案和解析>>

科目:高中数学 来源:2014-2015学年广东省湛江市高一下学期期末考试数学试卷(解析版) 题型:选择题

函数在区间内的图象是

查看答案和解析>>

科目:高中数学 来源:2016届云南省高三适应性月考二文科数学试卷(解析版) 题型:选择题

已知,则“”是“”的( )

A、充分不必要条件 B、必要不充分条件

C、充分必要条件 D、既不充分也不必要条件

查看答案和解析>>

科目:高中数学 来源:2016届湖北武汉华中师大第一附中高三上期中考试理科数学试卷(解析版) 题型:解答题

(本小题满分12分)(解答过程写在试卷上无效)

已知数列的首项,前项和为,且,设

(1)设,记,试比较的大小,并说明理由;

(2)若数列满足,在每两个之间都插入,使得数列变成了一个新的数列,试问:是否存在正整数,使得数列的前项的和?如果存在,求出的值;如果不存在,说明理由.

查看答案和解析>>

同步练习册答案