精英家教网 > 高中数学 > 题目详情

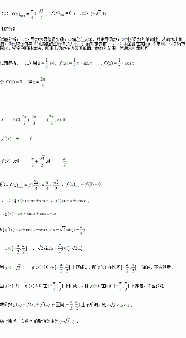
(本小题满分12分)已知

(I)当时,求上的最值;

(II)若函数在区间上不单调.求实数的取值范围.

练习册系列答案
相关习题

科目:高中数学 来源:2015-2016学年河北衡水中学高二上二调考试理科数学试卷(解析版) 题型:选择题

若正实数满足,且不等式恒成立,则实数的取值范围是

A.

B.

C.

D.

查看答案和解析>>

科目:高中数学 来源:2016届辽宁省抚顺市高三10月月考文科数学试卷(解析版) 题型:解答题

(本小题满分12分)已知点M在椭圆上,以M为圆心的圆与x轴相切于椭圆的右焦点F.

(Ⅰ)若圆M与y轴相切,求椭圆的离心率;

(Ⅱ)若圆M与y轴相交于A,B两点,且是边长为2的正三角形,求椭圆的方程.

查看答案和解析>>

科目:高中数学 来源:2016届吉林省高三上学期第一次模拟理科数学试卷(解析版) 题型:解答题

(本小题满分12分)已知函数

(1)当时,求函数的单调增区间;

(2)若函数上的最小值为,求实数的值;

(3)若函数上恒成立,求实数的取值范围.

查看答案和解析>>

科目:高中数学 来源:2016届黑龙江省牡丹江市高三10月月考文科数学试卷(解析版) 题型:填空题

已知内的一点,且,若的面积分别为,则的最小值为

查看答案和解析>>

科目:高中数学 来源:2016届黑龙江省高三第一阶段考试文科数学试卷(解析版) 题型:解答题

(本小题满分12分)已知曲线在点处的切线的斜率为1.

(1)若函数f(x)的图象在上为减函数,求的取值范围;

(2)当时,不等式恒成立,求a的取值范围.

查看答案和解析>>

科目:高中数学 来源:2016届黑龙江省高三第一阶段考试理科数学试卷(解析版) 题型:填空题

已知,若,使得成立,则实数a的取值范围是____________.

查看答案和解析>>

科目:高中数学 来源:2016届河北省高三二调文科数学试卷(解析版) 题型:填空题

已知函数,且,则的值为

查看答案和解析>>

科目:高中数学 来源:2015-2016学年河北省高二上学期第二次月考文数学试卷(解析版) 题型:解答题

河北一所学校高三年级有10名同学参加2014年北约自主招生,学校对这10名同学进行了辅导,并进行了两次模拟模拟考试,检测成绩的茎叶图如图所示.

(1)比较这10名同学预测卷和押题卷的平均分大小;

(2)若从押题卷的成绩中随机抽取两名成绩不低于112分的同学,求成绩为118分的同学被抽中的概率.

查看答案和解析>>

同步练习册答案