精英家教网 > 高中数学 > 题目详情

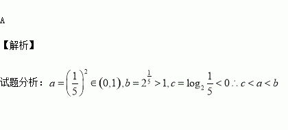
,则( )

A. B. C. D.

练习册系列答案
相关习题

科目:高中数学 来源:2015-2016学年湖南五市十校教改共同体高二下期末数学(文)试卷(解析版) 题型:选择题

已知双曲线的一条渐近线方程为,则该双曲线的离心率是( )

A. B. C. D.

查看答案和解析>>

科目:高中数学 来源:2015-2016学年湖南衡阳县一中高一下期末数学(文)试卷(解析版) 题型:选择题

若圆x2+y2﹣2x﹣4y=0的圆心到直线x﹣y+a=0的距离为,则a的值为( )

A.﹣2或2 B. C.2或0 D.﹣2或0

查看答案和解析>>

科目:高中数学 来源:2015-2016学年湖南衡阳县一中高一下期末数学(理)试卷(解析版) 题型:填空题

已知矩形中,AB=2,BC=1,在矩形内随机取一点,则的概率为 .

查看答案和解析>>

科目:高中数学 来源:2015-2016学年湖南衡阳县一中高一下期末数学(理)试卷(解析版) 题型:选择题

已知函数,则下面结论错误的是( )

A.函数的图象关于点对称;

B.函数的图象关于直线对称;

C.函数在区间上是增函数 ;

D.函数的图像是由函数的图像向右平移个单位而得到.

查看答案和解析>>

科目:高中数学 来源:2017届三省高三上学期百校大联考数学(理)试卷(解析版) 题型:解答题

选修4-1:几何证明选讲

如图,点是圆直径的延长线上一点,是圆的切线,为切点,的平分线相交于点,与相交于点.

(1)求的度数;

(2)若,证明:.

查看答案和解析>>

科目:高中数学 来源:2017届三省高三上学期百校大联考数学(理)试卷(解析版) 题型:填空题

的展开式中的系数为______________.

查看答案和解析>>

科目:高中数学 来源:2016届浙江温州市高三第二次适应性考试数学(文)试卷(解析版) 题型:解答题

如图,平面平面,其中为矩形,为直角三角形,.

(1)求证:平面平面

(2)求直线与平面所成角的正弦值.

查看答案和解析>>

科目:高中数学 来源:2017届河南息县第一高级中学高三上段测三试数学(理)试卷(解析版) 题型:选择题

已知集合,则( )

A. B. C. D.

查看答案和解析>>

同步练习册答案