精英家教网 > 高中数学 > 题目详情
已知F1、F2分别是椭圆的左、右焦点,P是此椭圆上的一动点,并且的取值范围是
(Ⅰ)求此椭圆的方程;
(Ⅱ)点A是椭圆的右顶点,直线y=x与椭圆交于B、C两点(C在第一象限内),又P、Q是椭圆上两点,并且满足,求证:向量共线.
【答案】分析:(I)由题意设P(x,y),F1(-c,0),F2(c,0)利用的取值范围所以∠PCQ的平分线垂直于x轴.是,得到a,b的方程,求解即可;
(II)有的平分线平行,所以∠PCQ的平分线垂直于x轴,进而建立方程,解出C点,再设出PC方程进而得到QC的方程,把它与椭圆方程联立得到直线PQ的斜率,与直线AB比较即可求证.
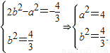
解答:解:(Ⅰ)设P(x,y),F1(-c,0),F2(c,0),
其中
从而
由于

又已知
所以
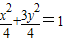
从而椭圆的方程是

(Ⅱ)因为的平分线平行,
所以∠PCQ的平分线垂直于x轴.

解得
不妨设PC的斜率为k,则QC的斜率为-k,
因此PC和QC的方程分别为y=k(x-1)+1,y=-k(x-1),
其中
消去y并整理得(1+3k2)x2-6k(k-1)x+3k2-6k-1=0(*).
∵C(1,1)在椭圆上,
∴x=1是方程(*)的一个根.
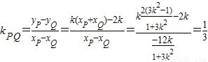
从而,同理
从而直线PQ的斜率为
又知A(2,0),B(-1,-1),
所以
∴向量共线.
点评:(I)此问考查了设处点的坐标,把已知的向量关系的等式建立成坐标之间的关系式,还考查了椭圆的基本性质及求解时运用的方程的思想;
(II)此问考查了设出直线把椭圆方程与直线方程进行联立,利用根与系数的关系求出P与Q的坐标,还考查了直线的斜率公式.
练习册系列答案
相关习题

科目:高中数学 来源: 题型:

(2013•湖南)已知F1,F2分别是椭圆E:
x25
+y2=1
的左、右焦点F1,F2关于直线x+y-2=0的对称点是圆C的一条直径的两个端点.
(Ⅰ)求圆C的方程;
(Ⅱ)设过点F2的直线l被椭圆E和圆C所截得的弦长分别为a,b.当ab最大时,求直线l的方程.

查看答案和解析>>

科目:高中数学 来源: 题型:

(2013•青岛二模)已知F1、F2分别是双曲线C:
x2
a2
-
y2
b2
=1
(a>0,b>0)的左、右焦点,P为双曲线右支上的一点,
PF2
F1F2
,且|
PF1
|=
2
|
PF2
|
,则双曲线的离心率为(  )

查看答案和解析>>

科目:高中数学 来源: 题型:

已知F1,F2分别是双曲线
x2
a2
-
y2
b2
=1 (a>0, b>0)
的左、右焦点,过点F2与双曲线的一条渐近线平行的直线交双曲线另一条渐近线于点M,若点M在以线段F1F2为直径的圆外,则双曲线离心率的取值范围是(  )

查看答案和解析>>

科目:高中数学 来源: 题型:

如图,已知F1,F2分别是椭圆C:
x2
a2
+
y2
b2
=1(a>b>0)的左、右焦点,且椭圆C的离心率e=
1
2
,F1也是抛物线C1:y2=-4x的焦点.
(Ⅰ)求椭圆C的方程;
(Ⅱ)过点F2的直线l交椭圆C于D,E两点,且2
DF2
=
F2E
,点E关于x轴的对称点为G,求直线GD的方程.

查看答案和解析>>

科目:高中数学 来源: 题型:

已知F1,F2分别是双曲线
x2
a2
-
y2
b2
=1(a>0,b>0)
的左,右焦点,P是双曲线的上一点,若
PF1
PF2
=0
|
PF1
|•|
PF2
|=3ab
,则双曲线的离心率是
 

查看答案和解析>>

同步练习册答案