精英家教网 > 高中数学 > 题目详情

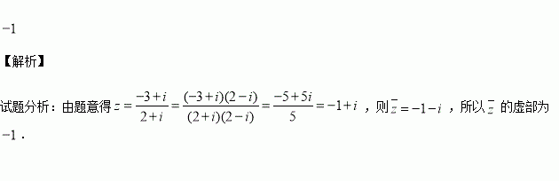
复数的共轭复数为,则的虚部为 .

练习册系列答案
相关习题

科目:高中数学 来源:2016届河南省商丘市高三第三次模拟文科数学试卷(解析版) 题型:填空题

设函数.有下列五个命题:

①若对任意,关于的不等式恒成立,则

②若存在,使得不等式成立,则

③若对任意及任意,不等式恒成立,则

④若对任意,存在,使得不等式成立,则

⑤若存在,使得不等式成立,则.

其中,所有正确结论的序号为______.

查看答案和解析>>

科目:高中数学 来源:2015-2016学年山东省高二下期中文科数学试卷(解析版) 题型:解答题

某连锁分店销售某种商品,每件商品的成本为4元,并且每件商品需向总店交元的管理费,预计当每件商品的售价为元时,一年的销售量为万件.

(1)求该连锁分店一年的利润(万元)与每件商品的售价的函数关系式

(2)当每件商品的售价为多少元时,该连锁分店一年的利润最大,并求出的最大值.

查看答案和解析>>

科目:高中数学 来源:2015-2016学年山东省高二下期中文科数学试卷(解析版) 题型:选择题

已知面积为的凸四边形中,四条边长分别记为,点为四边形内任意一点,且点到四边的距离分别记为.若,则.类比以上性质,体积为的三棱锥的每个面的面积分别记为,此三棱锥内任一点到每个面的距离分别为,若,则( )

A. B. C. D.

查看答案和解析>>

科目:高中数学 来源:2015-2016学年山东省高二下期中理科数学试卷(解析版) 题型:解答题

(1)求证:

(2)已知,求证:中至少有一个小于2.

查看答案和解析>>

科目:高中数学 来源:2015-2016学年山东省高二下期中理科数学试卷(解析版) 题型:选择题

已知有极大值和极小值,则的取值范围为( )

A. B. C. D.

查看答案和解析>>

科目:高中数学 来源:2016届海南师大附中高三第九次月考理科数学试卷(解析版) 题型:解答题

已知函数,若不等式的解集为.

(1)求的值;

(2)已知为正数,且,证明:.

查看答案和解析>>

科目:高中数学 来源:2016届海南师大附中高三第九次月考理科数学试卷(解析版) 题型:选择题

已知,其导函数的图象如图所示,则的值为( )

A. B. C. D.

查看答案和解析>>

科目:高中数学 来源:2016届宁夏银川九中高三上第四次月考文科数学试卷(解析版) 题型:填空题

若点在以坐标原点为圆心的圆上,则该圆在点P处的切线方程为________.

查看答案和解析>>

同步练习册答案