精英家教网 > 高中数学 > 题目详情

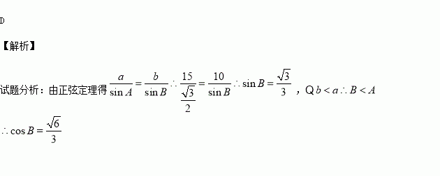
在△中,,则 ( )

A. B. C. D.

练习册系列答案
相关习题

科目:高中数学 来源:2016届安徽省高三上第五次月考理科数学试卷(解析版) 题型:选择题

若点和点F分别为椭圆的中心和左焦点,点P为椭圆上的任意一点,则的最小值为( )

A.2 B.4 C.6 D.8

查看答案和解析>>

科目:高中数学 来源:2015-2016学年福建省高一上第二次月考数学试卷(解析版) 题型:解答题

(Ⅰ) 计算:

(Ⅱ) 在中,,求的值,并判断三角形的形状.

查看答案和解析>>

科目:高中数学 来源:2015-2016学年河北省邯郸市等校高二上学期期中理科数学试卷(解析版) 题型:填空题

是椭圆的两个焦点,点M在椭圆上,若△是直角三角形,则△的面积等于

查看答案和解析>>

科目:高中数学 来源:2015-2016学年河北省邯郸市等校高二上学期期中理科数学试卷(解析版) 题型:选择题

设等比数列的公比,前项和为,则( )

A.5 B.7 C.8 D.15

查看答案和解析>>

科目:高中数学 来源:2015-2016学年山东省高二上学期期中考试理科数学试卷(解析版) 题型:解答题

已知点)满足,且点的坐标为

(1)求经过点 的直线的方程;

(2)已知点)在 两点确定的直线上,求证:数列 是等差数列;

(3)在(2)的条件下,求对于所有,能使不等式成立的最大实数的值.

查看答案和解析>>

科目:高中数学 来源:2015-2016学年山东省高二上学期期中考试理科数学试卷(解析版) 题型:选择题

中, 分别为角 所对的边.如果成等差数列,,△ 的面积为,那么 ( )

A. B. C. D.

查看答案和解析>>

科目:高中数学 来源:2015-2016学年浙江省温州市高二上学期期中考试数学试卷(解析版) 题型:选择题

若直线不平行于平面,且,则下列结论成立的是( )

A.内的所有直线与异面

B.内不存在与平行的直线

C.内存在唯一的直线与平行

D.内的直线与都相交

查看答案和解析>>

科目:高中数学 来源:2015-2016学年湖南省高二上学期期中考试文科数学试卷(解析版) 题型:解答题

已知{an}是首项为1,公差为2的等差数列,Sn表示{an}的前n项和.

(1)求an及Sn;

(2)设{bn}是首项为2的等比数列,公比q满足q2-(a4+1)q+S4=0,求{bn}的通项公式及其前n项和Tn.

查看答案和解析>>

同步练习册答案