精英家教网 > 高中数学 > 题目详情
已知抛物线C:y=2x2,直线y=kx+2交C于A,B两点,M是线段AB的中点,过M作x轴的垂线交C于点N。(1)证明:抛物线C在点N处的切线与AB平行;
(2)是否存在实数k使,若存在,求k的值;若不存在,说明理由。
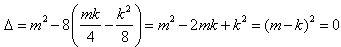
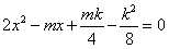
解:(1)如图,设,把代入
由韦达定理得

∴N点的坐标为
设抛物线在点N处的切线l的方程为
代入上式得
∵直线l与抛物线C相切,


(2)假设存在实数k,使,则
又∵M是AB的中点,

由(1)知


轴,



,解得
即存在,使
练习册系列答案
相关习题

科目:高中数学 来源: 题型:

精英家教网已知抛物线C:y=-x2+2x,在点A(0,0),B(2,0)分别作抛物线的切线L1、L2
(1)求切线L1和L2的方程;
(2)求抛物线C与切线L1和L2所围成的面积S.

查看答案和解析>>

科目:高中数学 来源: 题型:

已知抛物线C:y=x2+4x+
7
2
,过抛物线C上点M且与M处的切线垂直的直线称为抛物线C在点M的法线.
(1)若抛物线C在点M的法线的斜率为-
1
2
,求点M的坐标(x0,y0);
(2)设P(-2,4)为C对称轴上的一点,在C上一定存在点,使得C在该点的法线通过点P.试求出这些点,以及C在这些点的法线方程.

查看答案和解析>>

科目:高中数学 来源: 题型:

已知抛物线C:y=x2,从原点O出发且斜率为k0的直线l0交抛物线C于一异于O点的点A1(x1,y1),过A1作一斜率为k1的直线l1交抛物线C于一异于A1的点A2(x2,y2)…,过An作斜率为kn的直线ln交抛物线C于一异于An的点An+1(xn+1,yn+1)且知kn=k0n+1(k0>0且k0≠1).
(1)求x1,x2以及xn与xn+1之间的递推关系式;
(2)求{xn}的通项公式.

查看答案和解析>>

科目:高中数学 来源: 题型:

已知抛物线C:y=2x2,直线y=kx+2交C于A,B两点,M是线段AB的中点,过M作轴的垂线交C于点N.  
(1)求三角形OAB面积的最小值;
(2)证明:抛物线C在点N处的切线与AB平行;
(3)是否存在实数k使NANB,若存在,求k的值;若不存在,说明理由.

查看答案和解析>>

科目:高中数学 来源: 题型:

(2010•武汉模拟)已知抛物线C:y=
1
2
x2
与直线l:y=kx-1没有公共点,设点P为直线l上的动点,过P作抛物线C的两条切线,A,B为切点.
(1)证明:直线AB恒过定点Q;
(2)若点P与(1)中的定点Q的连线交抛物线C于M,N两点,证明:
|PM|
|PN|
=
|QM|
|QN|

查看答案和解析>>

同步练习册答案