精英家教网 > 高中数学 > 题目详情

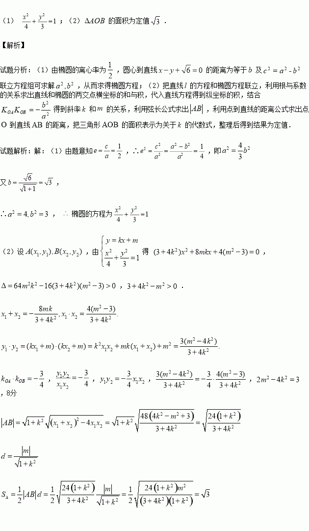
已知椭圆的离心率为,以原点为圆心,椭圆的短半轴长为半径的圆与直线相切.

(1)求椭圆的标准方程;

(2)若直线与椭圆相交于两点,且,判断的面积是否为定值?若为定值,求出定值;若不为定值,说明理由.

练习册系列答案
相关习题

科目:高中数学 来源:2015-2016学年四川省德阳市高二上学期期中考试数学试卷(解析版) 题型:解答题

在平面直角坐标系中,曲线与坐标轴的交点都在圆

(1)求圆的方程;

(2)若圆与直线交于两点,且,求的值.

查看答案和解析>>

科目:高中数学 来源:2015-2016学年山东省枣庄市高二10月学情调查数学试卷(解析版) 题型:填空题

若数列满足: 则其前2013项的和为

查看答案和解析>>

科目:高中数学 来源:2016届云南师大附中高考适应性月考四文科数学试卷(解析版) 题型:选择题

设集合,则( )

A. B. C. D.

查看答案和解析>>

科目:高中数学 来源:2016届辽宁省大连市高三12月月考理科数学试卷(解析版) 题型:解答题

已知数列,函数

(1)若正项数列满足,试求出,由此归纳出通项,并加以证明;

(2)若正项数列满足(n∈N*),数列的前项和为Tn,且,求证:

查看答案和解析>>

科目:高中数学 来源:2016届河北省高三上第五次月考理科数学试卷(解析版) 题型:选择题

已知实数满足,则的最大值为( )

A. B. C. D.

查看答案和解析>>

科目:高中数学 来源:2016届河北省邯郸市高三一轮收官考试一文科数学试卷(解析版) 题型:解答题

年“双节”期间,高速公路车辆较多.某调查公司在一服务区从七座以下小型汽车中按进服务区的先后每间隔辆就抽取一辆的抽样方法抽取名驾驶员进行询问调查,将他们在某段高速公路的车速(/)分成六段:后得到如图的频率分布直方图.

(1)求这辆小型车辆车速的众数和中位数的估计值;

(2)若从车速在的车辆中任抽取辆,求车速在的车辆恰有一辆的概率.

查看答案和解析>>

科目:高中数学 来源:2016届甘肃省高三上第四次月考文科数学试卷(解析版) 题型:选择题

已知集合,则为 ( )

A. B. C. D.

查看答案和解析>>

科目:高中数学 来源:2015-2016学年辽宁省高二上期中文科数学试卷(解析版) 题型:填空题

若“”是“方程有实数根”的充分条件,则实数的取值范围是

查看答案和解析>>

同步练习册答案