精英家教网 > 高中数学 > 题目详情
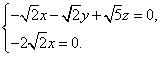
如图,在三棱柱ABC-A1B1C1中,H是正方形AA1B1B的中心,AA1=2,C1H⊥平面AA1B1B,且C1H=
(Ⅰ)求异面直线AC与A1B1所成角的余弦值;
(Ⅱ)求二面角A-A1C1-B1的正弦值;
(Ⅲ)设N为棱B1C1的中点,点M在平面AA1B1B内,且MN⊥平面A1B1C,求线段BM的长.
如图所示,建立空间直角坐标系,点B为坐标原点,
依题意,得

 (Ⅰ)易得
于是
所以异面直线AC与A1B1所成角的余弦值为
(Ⅱ)易知
设平面AA1C1的法向量
,即
不妨令,可得
同样地,设平面A1B1C1的法向量
,即
不妨令,可得
于是
从而
所以二面角A-A1C1-B1的正弦值为
(Ⅲ)由N为棱B1C1的中点,得
设M(a,b,0),则
由MN⊥平面A1B1C1


解得,故
因此
所以线段BM的长为
练习册系列答案
相关习题

科目:高中数学 来源: 题型:

精英家教网如图,在三棱柱ABC-A'B'C'中,若E、F分别为AB、AC的中点,平面EB'C'F将三棱柱分成体积为V1、V2的两部分,那么V1:V2为(  )
A、3:2B、7:5C、8:5D、9:5

查看答案和解析>>

科目:高中数学 来源: 题型:

如图,在三棱柱ABC-A1B1C1中,AA1⊥平面ABC,A1A=AC=2,BC=1,AB=
5
,则此三棱柱的侧视图的面积为(  )

查看答案和解析>>

科目:高中数学 来源: 题型:

如图,在三棱柱ABC-A1B1C1中,四边形A1ABB1为菱形,∠A1AB=60°,四边形BCC1B1为矩形,若AB⊥BC且AB=4,BC=3
(1)求证:平面A1CB⊥平面ACB1
(2)求三棱柱ABC-A1B1C1的体积.

查看答案和解析>>

科目:高中数学 来源: 题型:

(2013•通州区一模)如图,在三棱柱ABC-A1B1C1中,CC1⊥底面ABC,AC=BC=2,AB=2
2
,CC1=4,M是棱CC1上一点.
(Ⅰ)求证:BC⊥AM;
(Ⅱ)若N是AB上一点,且
AN
AB
=
CM
CC1
,求证:CN∥平面AB1M;
(Ⅲ)若CM=
5
2
,求二面角A-MB1-C的大小.

查看答案和解析>>

科目:高中数学 来源: 题型:

精英家教网如图,在三棱柱ABC-A1B1C1中,AA1⊥面ABC,AC⊥BC,E分别在线段B1C1上,B1E=3EC1,AC=BC=CC1=4.
(1)求证:BC⊥AC1
(2)试探究:在AC上是否存在点F,满足EF∥平面A1ABB1,若存在,请指出点F的位置,并给出证明;若不存在,说明理由.

查看答案和解析>>

同步练习册答案