精英家教网 > 高中数学 > 题目详情

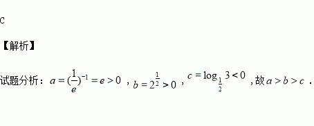
三个数的大小顺序为

A. B. C. D.

练习册系列答案
相关习题

科目:高中数学 来源:2016届四川内江市高三第五次模拟考试数学(文)试卷(解析版) 题型:填空题

设抛物线的焦点为,准线为为抛物线上一点,为垂足,如果的倾斜角为,则 .

查看答案和解析>>

科目:高中数学 来源:2016届北京通州区高三4月一模数学(理)试卷(解析版) 题型:填空题

已知函数。若,且,则的取值范围是______.

查看答案和解析>>

科目:高中数学 来源:2017届广东珠海市高三9月摸底考试数学(文)试卷(解析版) 题型:解答题

已知椭圆的离心率为,椭圆短轴的一个端点与两个焦点构成的三角形的面积为

⑴ 求椭圆的方程;

⑵ 已知动直线与椭圆相交于两点,点,求证:为定值.

查看答案和解析>>

科目:高中数学 来源:2017届广东珠海市高三9月摸底考试数学(文)试卷(解析版) 题型:填空题

已知向量,若共线,则_______.

查看答案和解析>>

科目:高中数学 来源:2017届广东珠海市高三9月摸底考试数学(文)试卷(解析版) 题型:选择题

4张卡片上分别写有数字1,2,3,4,从这4张卡片中随机抽取2张,则取出的2张卡片上的数字之和为奇数的概率为

A. B. C. D.

查看答案和解析>>

科目:高中数学 来源:2017届广东珠海市高三9月摸底考试数学(理)试卷(解析版) 题型:解答题

设椭圆)的右焦点为,右顶点为,上顶点为,且满足,其中 为坐标原点,为椭圆的离心率.

(1)求椭圆的方程;

(2)设点是椭圆上一点,直线轴交于点,直线轴交于点,求证:为定值.

查看答案和解析>>

科目:高中数学 来源:2017届广东珠海市高三9月摸底考试数学(理)试卷(解析版) 题型:选择题

已知是公差为的等差数列,是其前项和.若,则的值是

A. B. C. D.

查看答案和解析>>

科目:高中数学 来源:2015-2016学年贵州思南中学高二下学期期末理数学理试卷(解析版) 题型:选择题

,则的大小关系为( )

A. B. C. D.

查看答案和解析>>

同步练习册答案