精英家教网 > 高中数学 > 题目详情

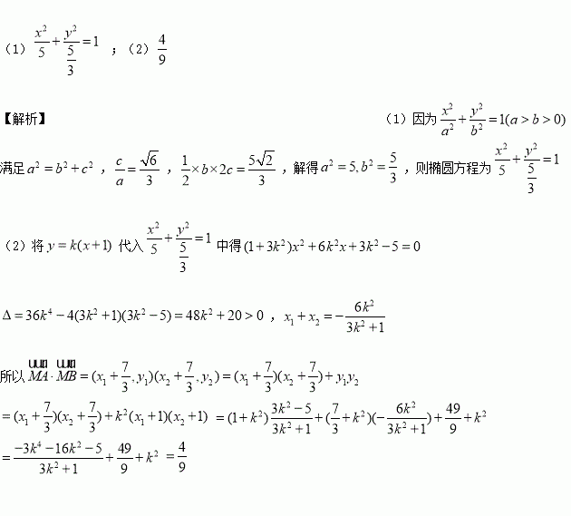
已知椭圆的离心率为,椭圆短轴的一个端点与两个焦点构成的三角形的面积为

⑴ 求椭圆的方程;

⑵ 已知动直线与椭圆相交于两点,点,求证:为定值.

练习册系列答案
相关习题

科目:高中数学 来源:2017届湖南长沙长郡中学高三入学考试数学(理)试卷(解析版) 题型:选择题

将函数的图象沿轴向右平移个单位后,得到一个偶函数的图象,则的取值不可能是( )

A. B. C. D.

查看答案和解析>>

科目:高中数学 来源:2016届北京通州区高三4月一模数学(文)试卷(解析版) 题型:选择题

如图所示的程序框图表示求算式“”的值,则判断框内应填入( )

A. B. C. D.

查看答案和解析>>

科目:高中数学 来源:2016届北京通州区高三4月一模数学(理)试卷(解析版) 题型:选择题

若定义域均为的三个函数满足条件:,点与点都关于点对称,则称关于的“对称函数”。已知关于的“对称函数”,且恒成立,则实数的取值范围是( )

A. B. C. D.

查看答案和解析>>

科目:高中数学 来源:2016届北京通州区高三4月一模数学(理)试卷(解析版) 题型:选择题

复数在复平面上对应的点位于( )

A.第一象限 B.第二象限 C.第三象限 D.第四象限

查看答案和解析>>

科目:高中数学 来源:2017届广东珠海市高三9月摸底考试数学(文)试卷(解析版) 题型:填空题

把函数的图像向左平移_______个单位可得到的图像.

查看答案和解析>>

科目:高中数学 来源:2017届广东珠海市高三9月摸底考试数学(文)试卷(解析版) 题型:选择题

三个数的大小顺序为

A. B. C. D.

查看答案和解析>>

科目:高中数学 来源:2017届广东珠海市高三9月摸底考试数学(理)试卷(解析版) 题型:填空题

已知函数是定义在上的周期为的奇函数,当时,,则

.

查看答案和解析>>

科目:高中数学 来源:2015-2016学年贵州思南中学高二下学期期末理数学理试卷(解析版) 题型:解答题

在直角坐标系中,曲线与直线)交于两点.

(1)当时,分别求在点处的切线方程;

(2)轴上是否存在点,使得当变动时,总有?说明理由.

查看答案和解析>>

同步练习册答案