精英家教网 > 高中数学 > 题目详情

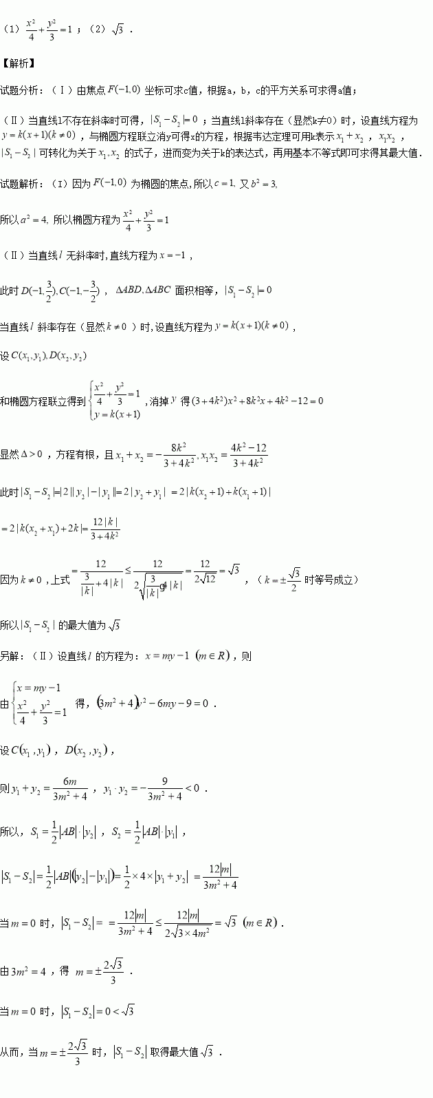
已知椭圆的一个焦点为,左右顶点分别为

经过点的直线与椭圆交于两点.

(Ⅰ)求椭圆方程;

(Ⅱ)记的面积分别为,求的最大值.

练习册系列答案
相关习题

科目:高中数学 来源:2016届宁夏石嘴山三中高三补习班上第三次适应性考试数学试卷(解析版) 题型:解答题

(2013•市中区校级三模)已知函数f(x)=1+sinxcosx.

(1)求函数f(x)的最小正周期和单调递减区间;

(2)若tanx=2,求f(x)的值.

查看答案和解析>>

科目:高中数学 来源:2016届重庆市高三上学期一诊模拟文科数学试卷(解析版) 题型:选择题

已知是定义在上的偶函数,且当时不等式恒成立,若,则的大小关系是( )

A. B.

C. D.

查看答案和解析>>

科目:高中数学 来源:2015-2016学年四川省高二上期中文科数学试卷(解析版) 题型:解答题

三角形ABC的三个顶点A(1,3)B(1,﹣3)C(3,3),求

(Ⅰ)BC边上中线AD所在直线的方程;

(Ⅱ)三角形ABC的外接圆O1的方程;

(Ⅲ)已知圆O2:,求圆心在x-y-4=0,且过圆O1与圆O2交点的圆的方程。

查看答案和解析>>

科目:高中数学 来源:2016届黑龙江省高三12月考理科数学试卷(解析版) 题型:填空题

利用一个球体毛坯切削后得到一个四棱锥,其中底面四边形是边长为的正方形,,且平面,则球体毛坯体积的最小值应为

查看答案和解析>>

科目:高中数学 来源:2016届黑龙江省高三12月考文科数学试卷(解析版) 题型:选择题

已知集合A=,B=,则AB=( )

A. B.

C. D.

查看答案和解析>>

科目:高中数学 来源:2015-2016学年云南省昭通市高二上12月月考理科数学卷(解析版) 题型:解答题

(2015•揭阳校级三模)已知函数

(1)求f(x)的最大值和最小正周期;

(2)若f()=,α是第二象限的角,求sin2α.

查看答案和解析>>

科目:高中数学 来源:2015-2016学年辽宁省沈阳市指南针教育高一上第一次月考数学试卷(解析版) 题型:选择题

(2013秋•新余期末)若定义在[﹣2013,2013]上的函数f(x)满足:对于任意的x1,x2∈[﹣2013,2013],有f(x1+x2)=f(x1)+f(x2)﹣2012,且x>0时,有f(x)>2012,f(x)的最大、小值分别为M、N,则M+N的值为( )

A.2011 B.2012 C.4022 D.4024

查看答案和解析>>

科目:高中数学 来源:2015-2016学年湖南省益阳市高二上12月月考文科数学试卷(解析版) 题型:选择题

(2014•湖北模拟)已知x,y∈R,则(x2+)(+4y2)的最小值为( )

A.10 B.8 C.9 D.7

查看答案和解析>>

同步练习册答案