精英家教网 > 高中数学 > 题目详情

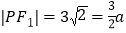
【题目】已知分别是椭圆 的左、右焦点,点是椭圆上一点,且.

(1)求椭圆的方程;

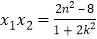
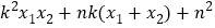
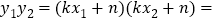
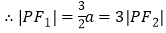
(2)设直线与椭圆相交于两点,若,其中为坐标原点,判断到直线的距离是否为定值?若是,求出该定值;若不是,请说明理由.

【答案】(1)(2)

【解析】试题分析:(1)根据,得到,列式求值即可.

(2)坐标化可得,原点到直线的距离 ②,将①式代入②式得:,得解.

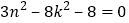
(1)

,化简得

,得,则

椭圆的方程为.

(2)由题意知,直线不过原点,设

(i)当直线轴时,直线的方程为

解得,故直线的方程为

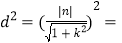
原点到直线的距离为.

(ii)当直线不垂直于轴时,

设直线的方程为,联立直线和椭圆方程消去

.

,故

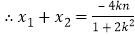
①,

原点到直线的距离为

②,将①式代入②式得:

.

综上,点到直线的距离为定值.

练习册系列答案
相关习题

科目:高中数学 来源: 题型:

【题目】【2017长沙模拟】如图,在直棱柱ABCA1B1C1中,∠BAC=90°,AB=AC=,AA1=3,D是BC的中点,点E在棱BB1上运动.

(1)求证:AD⊥C1E;

(2)当异面直线AC,C1E所成的角为60°时,求三棱锥C1A1B1E的体积.

查看答案和解析>>

科目:高中数学 来源: 题型:

【题目】某医学院读书协会欲研究昼夜温差大小与患感冒人数多少之间的关系,该协会分别到气象局与某医院抄录了1至6月份每月10号的昼夜温差情况与因患感冒而就诊的人数,得到如下频数分布直方图:

该协会确定的研究方案是:先从这六组数据中选取2组,用剩下的4组数据求线性回归方程,再用被选取的2组数据进行检验.

(1)求选取的2组数据恰好是相邻两个月的频率;

(2)已知选取的是1月与6月的两组数据.

(i)请根据2至5月份的数据,求出就诊人数关于昼夜温差的线性回归方程;

(ii)若由线性回归方程得到的估计数据与所选出的检验数据的误差均不超过2人,则认为得到的线性回归方程是理想的,试问该协会所得线性回归方程是否理想?

(参考公式:

查看答案和解析>>

科目:高中数学 来源: 题型:

【题目】如图是某几何体的三视图,则该几何体的体积为( )

A. 12 B. 15 C. 18 D. 21

查看答案和解析>>

科目:高中数学 来源: 题型:

【题目】某人对东北一种松树的生长进行了研究,收集了其高度h()与生长时间t()的相关数据,选择hmtbh=loga(t+1)来刻画ht的关系,你认为哪个符合?并预测第8年的松树高度.

t()

1

2

3

4

5

6

h()

0.6

1

1.3

1.5

1.6

1.7

查看答案和解析>>

科目:高中数学 来源: 题型:

【题目】某工厂在甲、乙两地的两个分厂各生产某种机器12台和6. 现销售给A10B8. 已知从甲地调运1台至A地、B地的运费分别为400元和800从乙地调运1台至A地、B地的费用分别为300元和500元.

(1)设从甲地调运x台至A求总费用y关于台数x的函数解析式;

(2)若总运费不超过9 000问共有几种调运方案;

(3)求出总运费最低的调运方案及最低的费用.

查看答案和解析>>

科目:高中数学 来源: 题型:

【题目】某民调机构为了了解民众是否支持英国脱离欧盟,随机抽调了100名民众,他们的年龄的频数及支持英国脱离欧盟的人数分布如下表:

年龄段

18-24岁

25-49岁

50-64岁

65岁及以上

频数

35

20

25

20

支持脱欧的人数

10

10

15

15

(Ⅰ)由以上统计数据填下面列联表,并判断是否有99%的把握认为以50岁胃分界点对是否支持脱离欧盟的态度有差异;

年龄低于50岁的人数

年龄不低于50岁的人数

合计

支持“脱欧”人数

不支持“脱欧”人数

合计

附:

(Ⅱ)若采用分层抽样的方式从18-64岁且支持英国脱离欧盟的民众中选出7人,再从这7人中随机选出2人,求这2人至少有1人年龄在18-24岁的概率.

查看答案和解析>>

科目:高中数学 来源: 题型:

【题目】设函数f(x)

(1)画出函数yf(x)的图象;

(2)讨论方程|f(x)|a的解的个数.(只写明结果,无需过程)

查看答案和解析>>

科目:高中数学 来源: 题型:

【题目】近年来,“共享单车”的出现为市民“绿色出行”提供了极大的方便,某共享单车公司“Mobike”计划在甲、乙两座城市共投资120万元,根据行业规定,每个城市至少要投资40万元,由前期市场调研可知:甲城市收益与投入(单位:万元)满足,乙城市收益与投入(单位:万元)满足,设甲城市的投入为(单位:万元),两个城市的总收益为(单位:万元)。

(1)当甲城市投资50万元时,求此时公司总收益;

(2)试问如何安排甲、乙两个城市的投资,才能使总收益最大?

查看答案和解析>>

同步练习册答案