精英家教网 > 高中数学 > 题目详情
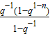
设等比数列{an}的公比q≠1,Sn表示数列{an}的前n项的和,Tn表示数列{an}的前n项的乘积,Tn(k)表示{an}的前n项中除去第k项后剩余的n-1项的乘积,即Tn(k)=(n,k∈N+,k≤n),则数列的前n项的和是    (用a1和q表示)
【答案】分析:由题设知=,Sn=,故=,由此能求出数列的前n项的和.
解答:解:∵等比数列{an}的公比q≠1,
Sn表示数列{an}的前n项的和,Tn表示数列{an}的前n项的乘积,
Tn(k)=(n,k∈N+,k≤n),

=
=
=
=
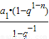
∵Sn=
=
数列的前n项的和
S=[(1+q-q-1)+(1+q-q2-q-1)+(1+q-q3-q-2)+…+(1+q-qn-q1-n)]
=[n+nq--]
=(n+nq-).
故答案为:(n+nq-).
点评:本题考查数列的前n项和的求法,解题时要认真审题,仔细解答,注意等价转化思想的合理运用.
练习册系列答案
相关习题

科目:高中数学 来源: 题型:

设等比数列{an}的前n项和为Sn,若8a2+a5=0,则下列式子中数值不能确定的是(  )
A、
a5
a3
B、
S5
S3
C、
an+1
an
D、
Sn+1
Sn

查看答案和解析>>

科目:高中数学 来源: 题型:

12、设等比数列{an}的前n项和为Sn,巳知S10=∫03(1+2x)dx,S20=18,则S30=
21

查看答案和解析>>

科目:高中数学 来源: 题型:

设等比数列{an}的前n项和为Sn,若S6:S3=3,则S9:S6=
 

查看答案和解析>>

科目:高中数学 来源: 题型:

设等比数列{an}的前n项和为Sn,若
S6
S3
=3,则
S9
S6
=(  )
A、
1
2
B、
7
3
C、
8
3
D、1

查看答案和解析>>

科目:高中数学 来源: 题型:

设等比数列{an}的前n 项和为Sn,若
S6
S3
=3,则
S9
S3
=
7
7

查看答案和解析>>

同步练习册答案