精英家教网 > 高中数学 > 题目详情

(本题满分16分)

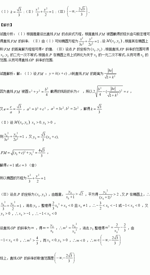
已知椭圆的左焦点为,离心率为,点M在椭圆上且位于第一象限,直线FM被圆截得的线段的长为c,.

(Ⅰ)求直线FM的斜率;

(Ⅱ)求椭圆的方程;

(Ⅲ)设椭圆上动点P在x轴上方,若直线FP的斜率大于,求直线OP(O为原点)的斜率的取值范围.

练习册系列答案
相关习题

科目:高中数学 来源:2016届甘肃省高三上学期期中理科数学试卷(解析版) 题型:解答题

(本小题满分10分)选修4~1:几何证明选讲

如图,AB是⊙O的一条切线,切点为B,直线ADE,CFD,CGE都是⊙O的割线,已知AC=AB.

(1)若CG=1,CD=4,求的值;

(2)求证:FG//AC.

查看答案和解析>>

科目:高中数学 来源:2015-2016学年广东省高一上学期期中数学试卷(解析版) 题型:选择题

函数的值域是,则函数的值域为( )

(A) (B) (C) (D)

查看答案和解析>>

科目:高中数学 来源:2015-2016学年四川省德阳市高一10月月考数学试卷(解析版) 题型:解答题

(12分)已知函数的定义域为,函数的值域为.

(1)求集合,

(2)求,

查看答案和解析>>

科目:高中数学 来源:2015-2016学年内蒙古巴彦淖尔市高一10月月考数学试卷(解析版) 题型:填空题

若函数是偶函数,则的递减区间是________

查看答案和解析>>

科目:高中数学 来源:2015-2016学年江苏省泰州市姜堰区高二上学期期中考试理科数学试卷(解析版) 题型:解答题

(本题满分14分)

在平面直角坐标系xOy中,椭圆C的参数方程 (φ为参数),直线的参数方程 (t为参数) .

(I)求C与的普通方程;

(II)求过C的右焦点,且平行的直线方程.

查看答案和解析>>

科目:高中数学 来源:2015-2016学年湖北省黄石市高一10月月考数学试卷(解析版) 题型:填空题

已知定义在R上的偶函数f(x),当x>0时,f(x)=-x3+1,则f(-2)与f(3)的乘积为________

查看答案和解析>>

科目:高中数学 来源:2015-2016学年河北省唐山市高一10月月考数学试卷(解析版) 题型:选择题

已知,则的值是( )

A、 B、 C、 D、不确定

查看答案和解析>>

科目:高中数学 来源:2015-2016学年安徽省阜阳市高二上第一次调研考文科数学试卷(解析版) 题型:解答题

某渔业公司今年初用98万元购进一艘渔船用于捕捞,第一年需各种费用12万元,从第二年开始包括维修费在内,每年所需费用均比上一年增加4万元,该船每年捕捞的总收入为50万元.

(1)该船捕捞几年开始盈利?(即总收入减去成本及所有费用之差为正值)

(2)该船捕捞若干年后,处理方案有两种:

①当年平均盈利达到最大值时,以26万元的价格卖出;

②当盈利总额达到最大值时,以8万元的价格卖出.问哪一种方案较为合算,请说明理由.

查看答案和解析>>

同步练习册答案