精英家教网 > 高中数学 > 题目详情

(本题满分18分,第1小题满分4分,第2小题满分6分,第3小 题满分8分. )

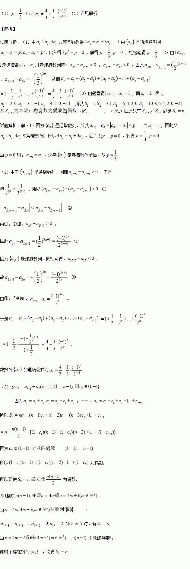
已知数列{}满足:为数列的前项和。

若{}是递增数列,且成等差数列,求的值;

,且{}是递增数列,{}是递减数列,求数列{}的通项公式;

,对于给定的正整数,是否存在一个满足条件的数列,使得,如果存在,给出一个满足条件的数列,如果不存在,请说明理由。

练习册系列答案
相关习题

科目:高中数学 来源:2016届黑龙江省高三12月月考理科数学试卷(解析版) 题型:解答题

已知命题:函数在[-2,2]内有且仅有一个零点.命题在区间[]内有解.若命题“”是假命题,求实数的取值范围.

查看答案和解析>>

科目:高中数学 来源:2015-2016学年广西陆川县中学高一上学期周测九数学试卷(解析版) 题型:选择题

某几何体三视图如图所示,则该几何体的体积为( )

A. B. C. D.

查看答案和解析>>

科目:高中数学 来源:2015-2016学年江苏省无锡市四校高一上学期期中考试数学试卷(解析版) 题型:填空题

已知=

查看答案和解析>>

科目:高中数学 来源:2015-2016年湖北武汉华中师大一附高二上期中文科数学卷(解析版) 题型:解答题

已知抛物线C:y2=2px(p>0)过点A(1,-2).

(Ⅰ)求抛物线C的方程,并求其准线方程;

(Ⅱ)是否存在平行于OA(O为坐标原点)的直线l,使得直线l与抛物线C有公共点,且直线OA与l的距离等于?若存在,求出直线l的方程;若不存在,说明理由.

查看答案和解析>>

科目:高中数学 来源:2016上海复旦大学附中届高三上期中文科数学试卷(解析版) 题型:填空题

若集合,则 .

查看答案和解析>>

科目:高中数学 来源:2016届河北省高三上学期四调文科数学试卷(解析版) 题型:解答题

如图,四棱锥,侧面是边长为的正三角形,且与底面垂直,底面的菱形,的中点.

(1)求证:

(2)求点到平面的距离.

查看答案和解析>>

科目:高中数学 来源:2015-2016学年吉林省高二11月月考理科数学卷(解析版) 题型:解答题

(本小题满分12分)

已知等差数列{}的公差,它的前项和为,若,且成等比数列.

(Ⅰ)求数列{}的通项公式;

(Ⅱ)若数列{}的前项和为,求证:

查看答案和解析>>

科目:高中数学 来源:2016届湖北武汉华中师大一附等高三上第一次联考文数学卷(解析版) 题型:解答题

已知函数

(1)若直线的反函数的图象相切,求实数的值;

(2)若,讨论函数零点的个数.

查看答案和解析>>

同步练习册答案