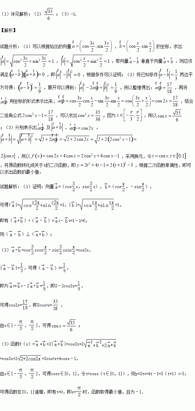
已知向量
=(cos
x,sin
x),
=(cos
,﹣sin
),x∈ [﹣
,
].
(1)求证:(
﹣
)⊥(
+
);
(2)若|
﹣
|=
,求cosx的值;
(3)求函数f(x)=![]()
+2|
+
|的最小值及相应的x的值.
科目:高中数学 来源:2017届河北衡水中学高三摸底联考(全国卷)数学(文)试卷(解析版) 题型:解答题
已知函数
.
(1)当
时,求函数
在
上的最大值和最小值;
(2)设
,且对于任意的
,试比较
与
的大小.
查看答案和解析>>
科目:高中数学 来源:2017届河北衡水中学高三摸底联考(全国卷)数学(理)试卷(解析版) 题型:选择题
执行如图所示的程序框图,若输入的
值为
,则输出的
值为( )
![]()
A.
B.
C.
D.![]()
查看答案和解析>>
科目:高中数学 来源:2017届湖北黄石市高三9月调研数学(理)试卷(解析版) 题型:选择题
“牟合方盖”是我国古代数学家刘徽在研究球的体积的过程中构造的一个和谐优美的几何体.它由完全相同的四个曲面构成,相对的两个曲面在同一个圆柱的侧面上,好似两个扣合(牟合)在一起的方形伞(方盖).其直观图如下左图,图中四边形是为体现其直观性所作的辅助线.其实际直观图中四边形不存在,当其正视图和侧视图完全相同时,它的正视图和俯视图分别可能是( )
![]()
A.
B.
C.
D.![]()
查看答案和解析>>
科目:高中数学 来源:2015-2016学年山东临沂十八中高一6月月考数学试卷(解析版) 题型:填空题
下列命题中真命题的序号是 .
①y=sin|x|与y=sinx的象关于y轴对称.
②y=cos(﹣x)与y=cos|x|的图象相同.
③y=|sinx|与y=sin(﹣x)的图象关于x轴对称.
④y=cosx与y=cos(﹣x)的图象关于y轴对称.
查看答案和解析>>
科目:高中数学 来源:2015-2016学年山东临沂十八中高一6月月考数学试卷(解析版) 题型:选择题
已知α,β均为锐角,cosα=
,cos(α+β)=﹣
,则角β为( )
A.
B.
C.
D.![]()
查看答案和解析>>
科目:高中数学 来源:2015-2016学年陕西延川县中学高二下学期期中数学(理)试卷(解析版) 题型:选择题
如图所示,在正方体
中,
,
,
分别是棱
,
,
上的点,若
则
的大小是( )
![]()
A.等于
B.小于
C.大于
D.不确定
查看答案和解析>>
科目:高中数学 来源:2015-2016学年河北秦皇岛卢龙县高二下学期期末数学(理)试卷(解析版) 题型:解答题
已知,
为圆
的直径,
为垂直
的一条弦,垂足为
,弦
交
于
.
![]()
(1)求证:
、
、
、
四点共圆;
(2)若
,求线段
的长.
查看答案和解析>>
湖北省互联网违法和不良信息举报平台 | 网上有害信息举报专区 | 电信诈骗举报专区 | 涉历史虚无主义有害信息举报专区 | 涉企侵权举报专区
违法和不良信息举报电话:027-86699610 举报邮箱:58377363@163.com