精英家教网 > 高中数学 > 题目详情
已知数列{xn}、{yn}满足x1=x2=1,y1=y2=2,并且(λ为非零参数,n=2,3,4,…),
(1)若x1、x3、x5成等比数列,求参数λ的值;
(2)当λ>0时,证明(n∈N*);
(3)当λ>1时,证明(n∈N*)。

(1)解:由已知,且

成等比数列,则,即
而λ≠0,解得
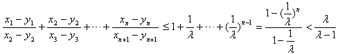
(2)证明:由已知,λ>0,,可得
由不等式的性质,有
另一方面,
因此,(n∈N*),
(n∈N*);
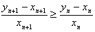
(3)证明:当λ>1时,由(2)可知(n∈N*),
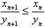
又由(2)(n∈N*),则
从而(n∈N*),
因此,

练习册系列答案
相关习题

科目:高中数学 来源: 题型:

已知数列{xn}满足x2=
x1
2
,xn=
1
2
(xn-1+xn-2),n=3,4,….若
lim
n→∞
xn
=2,则x1=(  )
A、
3
2
B、3
C、4
D、5

查看答案和解析>>

科目:高中数学 来源: 题型:

已知数列{xn}满足x2=
1
2
x1,xn=
1
2
(xn-1+xn-2)(n=3,4,5,…),若
lim
n→∞
xn=2
,则x1=
 

查看答案和解析>>

科目:高中数学 来源: 题型:

高斯函数[x]表示不超过x的最大整数,如[-2]=-2,[
2
]=1,已知数列{xn}中,x1=1,xn=xn-1+1+3{[
n-1
5
]-[
n-2
5
]}(n≥2),则x2013=
3219
3219

查看答案和解析>>

科目:高中数学 来源: 题型:

(2013•嘉定区一模)在数列{an}中,若存在一个确定的正整数T,对任意n∈N*满足an+T=an,则称{an}是周期数列,T叫做它的周期.已知数列{xn}满足x1=1,x2=a(a≤1),xn+2=|xn+1-xn|,当数列{xn}的周期为3时,则{xn}的前2013项的和S2013=
1342
1342

查看答案和解析>>

科目:高中数学 来源: 题型:

(2006•广州一模)已知数列{xn}满足下列条件:x1=a,x2=b,xn+1-(λ+1)xn+λxn-1=0(n∈N*且n≥2),其中a、b为常数,且a<b,λ为非零常数.
(Ⅰ)当λ>0时,证明:xn+1>xn(n∈N*);
(Ⅱ)当|λ|<1时,求
limn→∞
xn

查看答案和解析>>

同步练习册答案