精英家教网 > 高中数学 > 题目详情

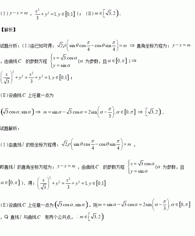
(1)在极坐标系中,直线的极坐标方程为,以极点为原点极轴为轴的正半轴建立平面直角坐标系,曲线的参数方程为为参数,且).

(Ⅰ)写出直线的直角坐标方程和曲线的普通方程;

(Ⅱ)若直线与曲线有两个公共点,求的取值范围.

练习册系列答案
相关习题

科目:高中数学 来源:2017届三省高三上学期百校大联考数学(理)试卷(解析版) 题型:选择题

已知,则等于( )

A. B. C. D.

查看答案和解析>>

科目:高中数学 来源:2017届河南息县第一高级中学高三上段测三试数学(理)试卷(解析版) 题型:选择题

已知函数的图象是连续不断的,有如下的的对应表

x

1

2

3

4

5

6

f(x)

136.13

15.552

-3.92

10.88

-52.488

-232.064

则函数存在零点的区间有( )

A.区间

B.区间

C.区间

D.区间

查看答案和解析>>

科目:高中数学 来源:2017届河南夏邑县第一高级中学高三文一轮复习周测二数学试卷(解析版) 题型:选择题

若函数内的单调递增函数,则实数的取值范围为( )

A. B. C. D.

查看答案和解析>>

科目:高中数学 来源:2017届河南夏邑县第一高级中学高三文一轮复习周测二数学试卷(解析版) 题型:选择题

已知函数,则的值等于( )

A. B. C. D.0

查看答案和解析>>

科目:高中数学 来源:2017届新疆兵团农二师华山中学高三上学前考数学(文)试卷(解析版) 题型:解答题

设a,b,c分别是△ABC的三个内角A、B、C所对的边,S是△ABC的面积,已知a=4,b=5,S=5

(1)求角C;

(2)求c边的长度.

查看答案和解析>>

科目:高中数学 来源:2017届新疆兵团农二师华山中学高三上学前考数学(文)试卷(解析版) 题型:选择题

函数)的单调递减区间为( )

A. B. C. D.

查看答案和解析>>

科目:高中数学 来源:2015-2016学年江苏盐城市高一下学期期末数学试卷(解析版) 题型:填空题

在平面直角坐标系中,已知圆是圆上的两个动点,,则的取值范围为

查看答案和解析>>

科目:高中数学 来源:2016-2017学年河北枣强中学高二上学期月考二数学试卷(解析版) 题型:填空题

某产品的广告费用与销售额的统计数据如表:

广告费(万元)

2

3

4

5

利润(万元)

26

49

56

根据表格已得回归方程为,表中有一数据模糊不清,请推算该数据的值为____________.

查看答案和解析>>

同步练习册答案