精英家教网 > 高中数学 > 题目详情

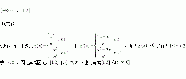
设函数,则函数的递增区间是

练习册系列答案
相关习题

科目:高中数学 来源:2017届河北武邑中学高三上学期周考9.4数学(文)试卷(解析版) 题型:选择题

若点在函数的图象上,则的值为( )

A.0 B. C.1 D.

查看答案和解析>>

科目:高中数学 来源:2017届湖北武汉市高三上学期起点考试数学(理)试卷(解析版) 题型:选择题

设集合为自然数集,则中元素的个数为( )

A.3 B.4 C.5 D.6

查看答案和解析>>

科目:高中数学 来源:2017届河北武邑中学高三上学期第一次调研数学(文)试卷(解析版) 题型:选择题

函数的值域是( )

A. B. C. D.

查看答案和解析>>

科目:高中数学 来源:2017届河北武邑中学高三上学期第一次调研数学(理)试卷(解析版) 题型:解答题

已知函数,其中是自然数的底数,

(1)当时,解不等式

(2)若,试判断上是否有最大或最小值,说明你的理由.

查看答案和解析>>

科目:高中数学 来源:2017届河北武邑中学高三上学期第一次调研数学(理)试卷(解析版) 题型:选择题

若函数是奇函数,则使成立的的取值范围为( )

A. B. C. D.

查看答案和解析>>

科目:高中数学 来源:2017届河北武邑中学高三上学期第一次调研数学(理)试卷(解析版) 题型:选择题

已知函数是定义在上的偶函数,且当时,,则函数的大致图象为( )

查看答案和解析>>

科目:高中数学 来源:2017届安徽六安一中高三上学期开学考试数学(文)试卷(解析版) 题型:选择题

若不等式组表示的区域,不等式表示的区域为,向区域均匀随机撒360颗芝麻,则落在区域中芝麻数为( )

A.150 B.114 C.70 D.50

查看答案和解析>>

科目:高中数学 来源:2016-2017学年湖北襄阳五中高二上开学考数学(理)试卷(解析版) 题型:选择题

已知数列{an}的通项公式为,其前n项和,则直线与坐标轴所围成三角形的面积为( )

A.36 B.45 C.50 D.55

查看答案和解析>>

同步练习册答案