精英家教网 > 高中数学 > 题目详情
公差不为0的等差数列{an}的前n项和为Sn,若a4是a3与a7的等比中项,S8=32,则S10=   
【答案】分析:设出等差数列的等差d,且d不为0,根据a4是a3与a7的等比中项,S8=32,利用等比数列的性质和等差数列的前n项和的公式化简得到关于等差数列首项和公差方程组,求出方程组的解集即可得到首项和公差,然后再利用等差数列的前n项和的公式求出S10即可.
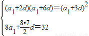
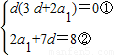
解答:解:设公差为d(d≠0),则有,化简得:
因为d≠0,由①得到2a1+3d=0③,②-③得:4d=8,解得d=2,把d=2代入③求得a1=-3,
所以方程组的解集为
则S10=10×(-3)+×2=60.
故答案为:60
点评:此题考查学生灵活运用等差数列的前n项和的公式及等比数列的通项公式化简求值,是一道综合题.本题解法属基本量法.在解由等差(比)数列中的部分项生成等比(差)数列中部分项问题时,要特别注意新数列中项在新、老数列中的各自属性及其表示.
练习册系列答案
相关习题

科目:高中数学 来源: 题型:

已知公差不为0的等差数列{an}满足a1,a3,a4成等比关系,Sn为{an}的前n项和,则
S3-S2
S5-S3
的值为(  )
A、2
B、3
C、
1
5
D、不存在

查看答案和解析>>

科目:高中数学 来源: 题型:

已知公差不为0的等差数列{an}的首项a1=2,且a1,a2,a4成等比数列.
(Ⅰ)求数列{an}的通项公式;
(Ⅱ)设数列{an}的前n项和为Sn,求数列{
1Sn
}
的前n项和Tn

查看答案和解析>>

科目:高中数学 来源: 题型:

若Sn是公差不为0的等差数列{an}的前n项和,则S1,S2,S4成等比数列.
(1)求数列S1,S2,S4的公比;
(2)若S2=4,求{an}的通项公式;
(3)在(2)条件下,若bn=an-14,求{|bn|}的前n项和Tn

查看答案和解析>>

科目:高中数学 来源: 题型:

已知公差不为0的等差数列{an}满足a2=3,a1,a3,a7成等比数列.
(Ⅰ)求数列{an}的通项公式;
(Ⅱ)数列{bn}满足bn=
an
an+1
+
an+1
an
,求数列{bn}的前n项和Sn
(Ⅲ)设cn=2n(
an+1
n
-λ)
,若数列{cn}是单调递减数列,求实数λ的取值范围.

查看答案和解析>>

科目:高中数学 来源: 题型:

设{an}是公差不为0的等差数列,a1=2,且a1,a3,a6成等比数列,则a5的值为
4
4

查看答案和解析>>

同步练习册答案