精英家教网 > 高中数学 > 题目详情

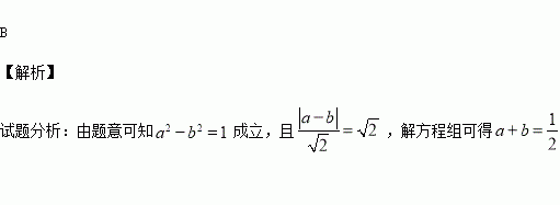
双曲线右支上一点P(a, b)到直线l:y = x的距离则a+b=( )

A.– B. C. D.2或–2

练习册系列答案
相关习题

科目:高中数学 来源:2016届黑龙江省哈尔滨市高三12月月考文科数学试卷(解析版) 题型:填空题

的外接圆圆心为,半径为,则方向上的投影为___________.

查看答案和解析>>

科目:高中数学 来源:2015-2016学年青海省高二期中考试数学试卷(解析版) 题型:选择题

已知为直线,为平面,下列结论正确的是( )

A.

B.

C.

D.

查看答案和解析>>

科目:高中数学 来源:2015-2016学年浙江省温州市高一上学期期中考试数学试卷(解析版) 题型:选择题

设集合,则等于( )

A. B. C. D.

查看答案和解析>>

科目:高中数学 来源:2015-2016学年江苏省无锡市四校高一上学期期中考试数学试卷(解析版) 题型:填空题

已知=

查看答案和解析>>

科目:高中数学 来源:2015-2016年湖北武汉华中师大一附高二上期中文科数学卷(解析版) 题型:选择题

直线R)与椭圆恒有公共点,则的取值范围是( )

A.(0,1) B.(0,5) C. D.

查看答案和解析>>

科目:高中数学 来源:2016上海复旦大学附中届高三上期中文科数学试卷(解析版) 题型:填空题

若集合,则 .

查看答案和解析>>

科目:高中数学 来源:2016届河北省高三上学期四调理科数学试卷(解析版) 题型:选择题

已知全集,则集合为( )

A. B. C. D.

查看答案和解析>>

科目:高中数学 来源:2016届湖南省株洲市高三上学期期中文科数学试卷(解析版) 题型:选择题

已知是两个不同平面,是两条不同直线,下列命题中假命题是

A.若,则

B.若,则

C.若,则

D.若,则

查看答案和解析>>

同步练习册答案