精英家教网 > 高中数学 > 题目详情

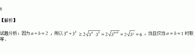
若实数满足,则的最小值是_________.

练习册系列答案
相关习题

科目:高中数学 来源:2015-2016学年吉林省高二11月月考理科数学卷(解析版) 题型:选择题

使不等式成立的一个必要不充分条件是( )

A. B. C. D.

查看答案和解析>>

科目:高中数学 来源:2016届湖北武汉华中师大一附等高三上第一次联考文数学卷(解析版) 题型:解答题

已知函数

(1)若直线的反函数的图象相切,求实数的值;

(2)若,讨论函数零点的个数.

查看答案和解析>>

科目:高中数学 来源:2016届福建省高三上学期期中考理科数学试卷(解析版) 题型:选择题

已知复数为虚数单位),则的共轭复数在复平面内对应点的坐标是( )

A. B. C. D.

查看答案和解析>>

科目:高中数学 来源:2015-2016学年山西省太原市高二12月月考数学试卷(解析版) 题型:选择题

方程有两个不等实根,则的取值范围是( )

A. B. C. D.

查看答案和解析>>

科目:高中数学 来源:2015-2016学年湖南衡阳八中高二上第二次月考文科数学卷(解析版) 题型:填空题

甲、乙两下棋,两人下成和棋的概率是,乙获胜的概率是,则甲获胜的概率是________.

查看答案和解析>>

科目:高中数学 来源:2015-2016学年湖南衡阳八中高二上第二次月考理科数学卷(解析版) 题型:选择题

椭圆的离心率为,则k的值为( )

A. B. C.或1 D.或1

查看答案和解析>>

科目:高中数学 来源:2016届四川省成都市高三11月阶段测试文科数学试卷(解析版) 题型:选择题

命题“”的否定为( )

A.

B.

C.

D.

查看答案和解析>>

科目:高中数学 来源:2015-2015学年云南省玉溪市高二上学期期中数学试卷(解析版) 题型:解答题

如图,在三棱锥中,

(Ⅰ)求证:

(Ⅱ)求二面角的正弦值.

查看答案和解析>>

同步练习册答案