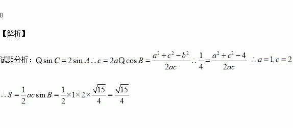
精英家教网 > 高中数学 > 题目详情

已知内角的对边分别是,若,则的面积为( )

A. B. C. D.

练习册系列答案
相关习题

科目:高中数学 来源:2015-2016学年江西省宜春市高二上期末文科数学试卷(解析版) 题型:选择题

已知函数的图像在点处的切线方程是,若,则( )

A. B. C. D.2

查看答案和解析>>

科目:高中数学 来源:2015-2016学年山东省高二上期末文科数学试卷(解析版) 题型:填空题

已知数列满足: , (n∈N*),则 ________

查看答案和解析>>

科目:高中数学 来源:2015-2016学年山东省高二上期末理科数学试卷(解析版) 题型:填空题

设命题:实数满足,其中;命题:实数满足,若的必要不充分条件,则实数的取值范围是_______.

查看答案和解析>>

科目:高中数学 来源:2015-2016学年山东省高二上期末理科数学试卷(解析版) 题型:选择题

,则的最小值是( )

A. 3 B. C. 3+ D.

查看答案和解析>>

科目:高中数学 来源:2015-2016学年山东省胶州市高二上学期期末考试文科数学试卷(解析版) 题型:解答题

如图所示,为等边三角形, ,F为CD的中点.求证:

(I)AF//平面BCE;

(II)平面

查看答案和解析>>

科目:高中数学 来源:2015-2016学年山东省胶州市高二上学期期末考试文科数学试卷(解析版) 题型:填空题

已知椭圆的离心率,则m的值为

查看答案和解析>>

科目:高中数学 来源:2015-2016学年山东省胶州市高二上学期期末考试理科数学试卷(解析版) 题型:解答题

设命题p:方程表示双曲线;命题q:

(Ⅰ)若命题P为真命题,求实数m的取值范围;

(Ⅱ)若命题q为真命题,求实数m的取值范围;

(Ⅲ)求使为假命题的实数m的取值范围.

查看答案和解析>>

科目:高中数学 来源:2015-2016学年湖南省长沙市高一上期末数学试卷(解析版) 题型:解答题

已知函数 , x∈(- 1,1).

(1)判断f(x)的奇偶性,并证明;

(2)判断f(x)在(- 1,1)上的单调性,并证明.

查看答案和解析>>

同步练习册答案