精英家教网 > 高中数学 > 题目详情

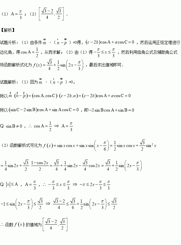
设△ABC的三个内角A,B,C所对的边长分别为a,b,c.平面向量=(cosA,cosC),=(c,a),=(2b,0),且·(-)=0

(1)求角A的大小;

(2)当|x|≤A时,求函数f(x)=sinxcosx+sinxsin(x-)的值域.

练习册系列答案
相关习题

科目:高中数学 来源:2015-2016学年山东省高一上学期期中考试数试卷(解析版) 题型:解答题

求值:

(1)

(2)

查看答案和解析>>

科目:高中数学 来源:2015-2016学年广东汕头市高二10月月考数学卷(解析版) 题型:选择题

如图,在侧棱与底面边长均相等的正四棱锥P-ABCD中,点E是PC的中点,则下列结论正确的是( )

A、BE∥平面PAD,且BE到平面PAD的距离为

B、BE与平面PAD不平行,且BE与平面PAD所成角小于30°;

C、BE∥平面PAD,且BE到平面PAD的距离为

D、BE与平面PAD不平行,且BE与平面PAD所成角大于30°.

查看答案和解析>>

科目:高中数学 来源:2015-2016学年陕西省西安市高二上学期期中考试文科数学试卷(解析版) 题型:解答题

已知数列{an}的前n项和为Sn,且向量a=(n,Sn),b=(4,n+3)共线.

(1)求证:数列{an}是等差数列;

(2)求数列的前n项和Tn.

查看答案和解析>>

科目:高中数学 来源:2015-2016学年河南省英文学校高二上学期期中考试数学试卷(解析版) 题型:填空题

已知实数x,y满足的最大值为______.

查看答案和解析>>

科目:高中数学 来源:2016届四川省成都市高三11月段测三理科数学试卷(解析版) 题型:解答题

设命题p:|2x-3|<1;命题q:lg2x-(2t+l)lgx+t(t+l)≤0,

(1)若命题q所表示不等式的解集为A={x|l0≤x≤100},求实数t的值;

(2)若p是q的必要不充分条件,求实数t的取值范围.

查看答案和解析>>

科目:高中数学 来源:2016届江西省高三上学期第三次考试文科数学试卷(解析版) 题型:选择题

设向量满足:的夹角是,若的夹角为钝角,则的范围是( )

A.

B.

C.

D.

查看答案和解析>>

科目:高中数学 来源:2015-2016学年西藏日喀则一中高二10月月考文数学试卷(解析版) 题型:选择题

设函数,曲线在点处的切线方程为,则曲线在点处切线的斜率为( )

A. B. C. D.

查看答案和解析>>

科目:高中数学 来源:2015-2016学年江西铅山一中 、横峰中学高二上学期期中理科数学卷(解析版) 题型:选择题

如果一个位十进制数的数位上的数字满足“小大小大小大”的顺序,即满足:,我们称这种数为“波浪数”;从1,2,3,4,5组成的数字不重复的五位数中任取一个五位数,这个数为“波浪数”的个数是( )

A.16 B.18 C.10 D.8

查看答案和解析>>

同步练习册答案