精英家教网 > 高中数学 > 题目详情

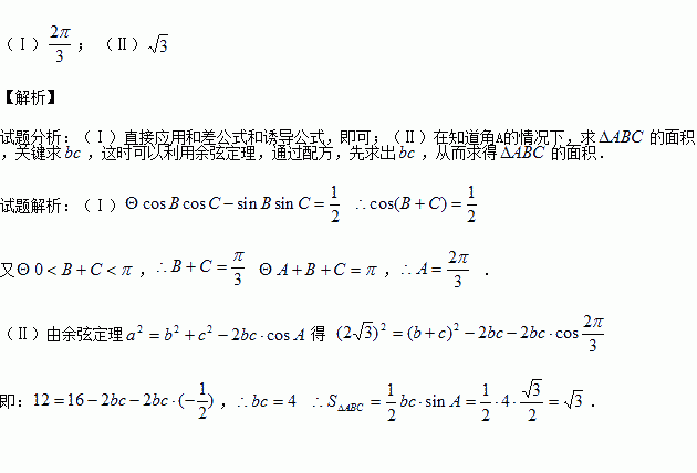
已知的三内角,且其对边分别为,若

(Ⅰ)求

(Ⅱ)若,求的面积.

练习册系列答案
相关习题

科目:高中数学 来源:2016届河北省高三上学期期中考试文科数学试卷(解析版) 题型:选择题

把函数的图象向左平移个单位,得到函数g(x)的图象,若g(x)的图象关于对称,则=( )

A. B. C. D.

查看答案和解析>>

科目:高中数学 来源:2015-2016学年山东省高二上学期期中考试理科数学试卷(解析版) 题型:选择题

已知等比数列 中,,则其前 项的和的取值范围是 ( )

A. B.

C. D.

查看答案和解析>>

科目:高中数学 来源:2015-2016学年四川省德阳市高二上学期期中考试数学试卷(解析版) 题型:选择题

已知表示两条不同直线,表示平面,下列说法正确的是( )

A.若,则

B.若,则

C.若,则

D.若,则

查看答案和解析>>

科目:高中数学 来源:2015-2016学年湖北省襄阳市等高一上学期期中联考数学试卷(解析版) 题型:填空题

已知集合,则________.

查看答案和解析>>

科目:高中数学 来源:2015-2016学年湖南省高二上学期期中考试文科数学试卷(解析版) 题型:填空题

不等式的解集为 .(用区间表示)

查看答案和解析>>

科目:高中数学 来源:2015-2016学年山东省枣庄市高二10月学情调查数学试卷(解析版) 题型:填空题

设数列的前项和,且成等差数列.

(1)求数列的通项公式;

(2)记数列的前n项和,求得成立的n的最小值.

查看答案和解析>>

科目:高中数学 来源:2016届云南师大附中高考适应性月考四文科数学试卷(解析版) 题型:解答题

如图,过椭圆内一点的动直线与椭圆相交于M,N两点,当平行于x轴和垂直于x轴时,被椭圆所截得的线段长均为

(1)求椭圆的方程;

(2)在平面直角坐标系中,是否存在与点A不同的定点B,使得对任意过点的动直线都满足?若存在,求出定点B的坐标,若不存在,请说明理由.

查看答案和解析>>

科目:高中数学 来源:2016届甘肃省高三上第四次月考文科数学试卷(解析版) 题型:解答题

已知函数

(1)当时,求在区间上的最大值;

(2)若在区间上,函数的图象恒在直线下方,求的取值范围.

查看答案和解析>>

同步练习册答案