精英家教网 > 高中数学 > 题目详情

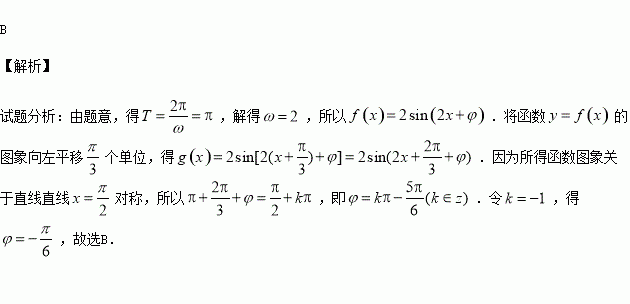
已知函数相邻两对称中心之间的距离为,将函数的图象向左平移个单位所得图象关于直线对称, 则( )

A. B. C. D.

练习册系列答案
相关习题

科目:高中数学 来源:2015-2016学年四川成都外国语学校高一下期末文数学试卷(解析版) 题型:选择题

在三视图如图的多面体中,最大的一个面的面积为( )

A. B. C.3 D.

查看答案和解析>>

科目:高中数学 来源:2016届湖北襄阳四中高三六月全真模拟一数学(理)试卷(解析版) 题型:填空题

已知,且,则

查看答案和解析>>

科目:高中数学 来源:2016届山西晋城市高三下学期三模考试文数学试卷(解析版) 题型:解答题

已知椭圆的离心率为,过焦点且垂直于轴的直线被椭圆截得的弦长为.

(1)求椭圆的方程;

(2)若直线经过椭圆上的顶点且与圆交于两点,过点的垂线交椭圆于另一点,当的面积最大值时, 求直线的方程.

查看答案和解析>>

科目:高中数学 来源:2016届山西晋城市高三下学期三模考试文数学试卷(解析版) 题型:填空题

某中学为调查在校学生的视力情况, 拟采用分层抽样的方法, 从该校三个年级中抽取一个容量为的样本进行调查, 已知该校高一、高二、高三年级的学生人数之比为,则应从高一年级学生抽取 名学生.

查看答案和解析>>

科目:高中数学 来源:2016届山西晋城市高三下学期三模考试文数学试卷(解析版) 题型:选择题

下列说法中正确的是( )

A.“”是“函数是奇函数” 的必要不充分条件

B.若,则

C.命题“若,则” 的否命题是“若,则

D.命题和命题有且仅有一个为真命题的充要条件是为真命题

查看答案和解析>>

科目:高中数学 来源:2016届山西晋城市高三下学期三模考试理数学试卷(解析版) 题型:解答题

已知椭圆,圆的圆心在椭圆上,点到椭圆的右焦点的距离为.

(1)求椭圆的方程;

(2)过点作互相垂直的两条直线,且交椭圆两点, 直线交圆两点, 且的中点, 求的面积的取值范围.

查看答案和解析>>

科目:高中数学 来源:2016届山西晋城市高三下学期三模考试理数学试卷(解析版) 题型:选择题

下列说法中正确的是( )

A.“”是“函数是奇函数” 的必要不充分条件

B.若,则

C.命题“若,则” 的否命题是“若,则

D.命题和命题有且仅有一个为真命题的充要条件是为真命题

查看答案和解析>>

科目:高中数学 来源:2016届河南新乡名校学术联盟高三高考押题四文数学试卷(解析版) 题型:选择题

已知均为正实数,且,则( )

A. B. C. D.

查看答案和解析>>

同步练习册答案