精英家教网 > 高中数学 > 题目详情

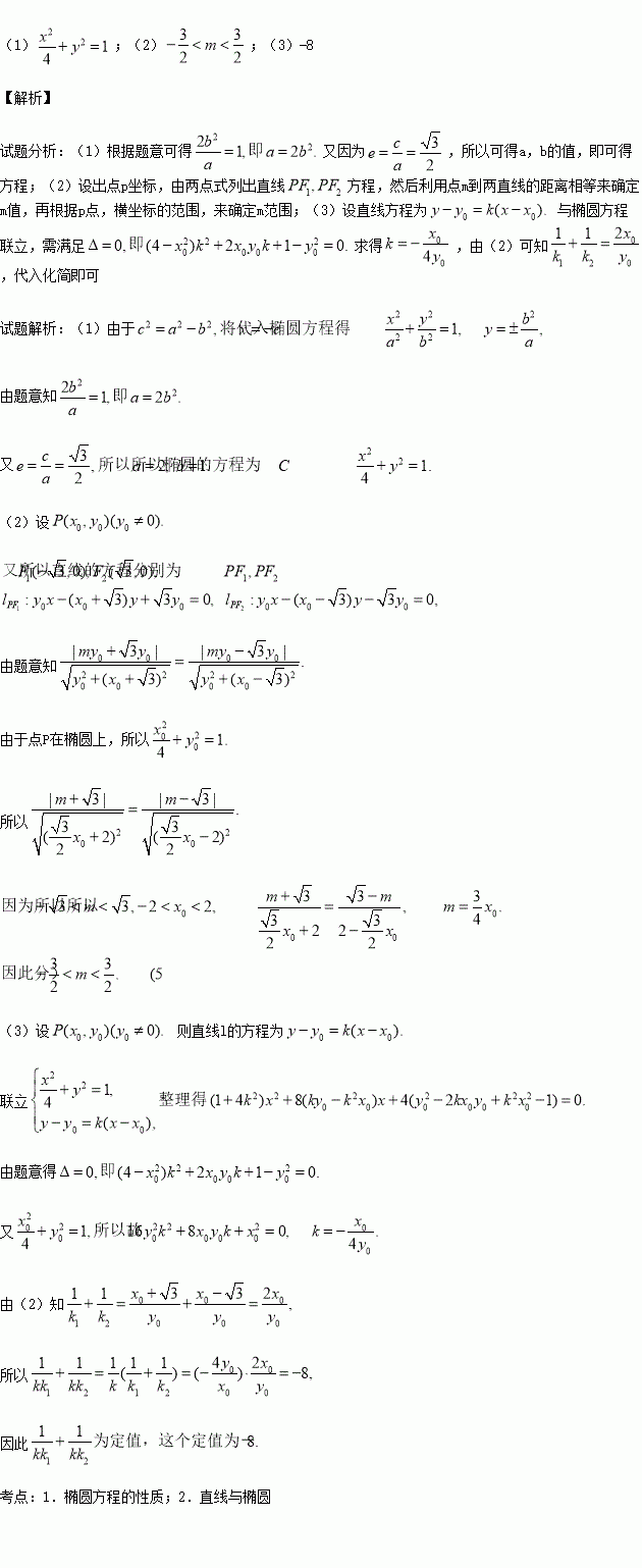
椭圆C:的左、右焦点分别是F1、F2,离心率为,过F1且垂直于x轴的直线被椭圆C截得的线段长为l.

(1)求椭圆C的方程;

(2)点P是椭圆C上除长轴端点外的任一点,连接PF1、PF2,设∠F1PF2的角平分线PM交C的长轴于点M(m,0),求m的取值范围.

(3)在(2)的条件下,过点P作斜率为k的直线l,使得l与椭圆C有且只有一个公共点.设直线PF1、PF2的斜率分别为k1、k2,若k≠0,试证明 为定值,并求出这个定值.

练习册系列答案
相关习题

科目:高中数学 来源:2015-2016学年湖北荆州中学高一上学期期中理科数学试卷(解析版) 题型:填空题

若函数的最小值为2,则函数的最小值为

查看答案和解析>>

科目:高中数学 来源:2015-2016学年江苏省高一上第一次联考数学试卷(解析版) 题型:填空题

设f(x)为定义在R上的奇函数.当x≥0时,f(x)=2x+2x+b (b为常数),则f(-1)=

查看答案和解析>>

科目:高中数学 来源:2015-2016学年湖北省黄石市高二10月月考文科数学试卷(解析版) 题型:选择题

直线 L1:, L2: 互相垂直,则的值为 ( )

A.-3 B.1 C.0 或 D.1或-3

查看答案和解析>>

科目:高中数学 来源:2014-2015学年浙江省等三校高一上学期期中考试数学试卷(解析版) 题型:解答题

(本题16分)某公司生产一种电子仪器的固定成本为20 000元,每生产一台仪器需增加投入100元,已知总收益满足函数:

(其中x是仪器的月产量).

(1)将利润表示为月产量的函数f(x);

(2)当月产量为何值时,公司所获利润最大?最大利润为多少元?(总收益=总成本+利润)

查看答案和解析>>

科目:高中数学 来源:2014-2015学年陕西省西安市高一上学期期中考试数学试卷(解析版) 题型:解答题

(本题12分)设函数为常数

(1)用表示的最小值,求的解析式

(2)在(1)中,是否存在最小的整数,使得对于任意均成立,若存在,求出的值;若不存在,请说明理由

查看答案和解析>>

科目:高中数学 来源:2014-2015学年山东省高二下学期阶段性检测理科数学试卷(解析版) 题型:填空题

查看答案和解析>>

科目:高中数学 来源:2014-2015学年河北省高一5月月考数学试卷(解析版) 题型:选择题

如图,四棱锥中,都是等边三角形,则异面直线所成角的大小为

A. B. C. D.

查看答案和解析>>

科目:高中数学 来源:2016届宁夏银川一中高三上学期第三次月考文科数学试卷(解析版) 题型:解答题

(本小题满分10分)选修4—5:不等式选讲

已知

(1)关于的不等式恒成立,求实数的取值范围;

(2)设,且,求证:

查看答案和解析>>

同步练习册答案