精英家教网 > 高中数学 > 题目详情

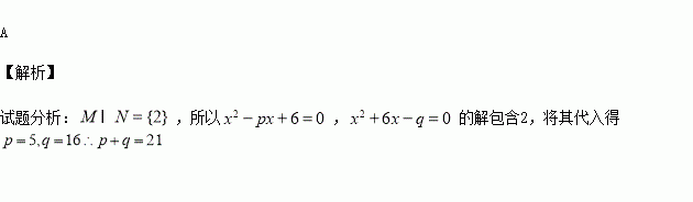
已知集合,则( )

A.21 B.19 C.16 D.27

练习册系列答案
相关习题

科目:高中数学 来源:2015-2016学年四川绵阳南山中学高二上期中理科数学试卷(解析版) 题型:选择题

已知等差数列中,,其前项和为,则( )

A、 B、 C、 D、不确定

查看答案和解析>>

科目:高中数学 来源:2015-2016学年湖北省高二上学期期中理科数学试卷(解析版) 题型:填空题

图形如图所示,为了求其面积,小明在封闭的图中找出了一个半径为1 m的圆,在不远处向圈内掷石子,且记录如下:

50次

150次

300次

石子落在内(含上)的次数m

14

43

93

石子落在阴影内次数n

29

85

186

则估计封闭图形的面积为________m2.

查看答案和解析>>

科目:高中数学 来源:2015-2016学年广东省英德市高二上学期第一次月考理科数学试卷(解析版) 题型:选择题

对于直角坐标平面内的任意两点A(x,y)、B(x,y),定义它们之间的一种“距离”:

‖AB‖=︱x-x︱+︱y-y︱.

给出下列三个命题:

①若点C在线段AB上,则‖AC‖+‖CB‖=‖AB‖;

②在△ABC中,若∠C=90°,则‖AC‖+‖CB‖=‖AB‖

③在△ABC中,‖AC‖+‖CB‖>‖AB‖.

其中真命题的个数为 ( )

A.0 B.1 C.2 D.3

查看答案和解析>>

科目:高中数学 来源:2015-2016学年广东省普宁市高一上学期期中考试数学试卷(解析版) 题型:选择题

已知平面α内有无数条直线都与平面β平行,那么 ( )

A.α∥β B.α与β相交 C.α与β重合 D.α∥β或α与β相交

查看答案和解析>>

科目:高中数学 来源:2014-2015学年浙江省等三校高二上学期期中考试数学试卷(解析版) 题型:填空题

若△ABC满足a=3,b=4, c=2则cos B=________.

查看答案和解析>>

科目:高中数学 来源:2016届浙江省高三10月月考文科数学试卷(解析版) 题型:解答题

(本小题满分14分)在中,角、B、C所对的边分别是

(Ⅰ)求角C;

(Ⅱ)若的最短边长是,求最长边的长.

查看答案和解析>>

科目:高中数学 来源:2015-2016学年四川成都市六校高一上学期期中联考数学试卷(解析版) 题型:填空题

,若,则=

查看答案和解析>>

科目:高中数学 来源:2015-2016学年福建厦门双十中学高二上期中文科数学试卷(解析版) 题型:选择题

若0<a<b且a + b=1,四个数、b、2ab、 中最大的是 ( ).

A. B.b C.2ab D.

查看答案和解析>>

同步练习册答案